一文说清:天津中考物理「动态电路分析」全解(考点 + 真题 + 方法 + 避坑)

天津中考电学压轴与力学压轴交替出现,近 10 年动态电路 4 次作为压轴题。2025 考力学,2026 年极大概率考动态电路,是今年最重点备考模块。
必考方向:串联动态、极值范围、安全边界、图像信息、电源电压范围
天津近 10 年中考物理压轴题・动态电路考情

具体例题分析



01

考情定位:天津中考动态电路,到底有多重要?
1. 近 10 年考频
①选择题(必考):2016–2025 连续 10 年出现,3 分 / 题,年年考、题题稳
②压轴题(高频):2019、2020、2022、2024 四年作为第 25 题压轴(电学综合核心)
③命题趋势:力学、电学交替压轴;2025 考浮力,2026 动态电路概率极高
2. 天津卷 3 大典型考法
①串联动态(90%):滑变 + 定值电阻 / 灯泡,双电压表、量程限制、极值范围
②开关切换(少量):串 / 并联转换、多档位、等效电路画图
③图像结合(压轴):I–U 图像、变化量 ΔU/ΔI、电源内阻思想(天津特色)
3. 核心考点清单
①串 / 并联电路:电流、电压、电阻规律
②欧姆定律:I=U/R(同体、同时)
③串联分压:U2/U1=R2/R1、串正并反
④安全边界:电表量程、元件额定值、滑变规格
⑤变化量:ΔU=ΔI⋅R定天津压轴高频)

02

基础方法论:4 步搞定所有动态电路
步骤 1:判串并、定测量
<1>电流路径法:一条路 = 串联;多条路 = 并联
<2>电压表方框法:
只 “抱” 一个用电器 → 测它电压
抱 “用电器 + 电源” → 不测它(测另一个)
<3>口诀:电流表串、处处等;电压表并、看抱谁


步骤 2:看变化、定总阻(滑变 / 开关)
①串联:
R总=R1+R2→ 滑变↑→R总↑→I总↓
②并联:支路电阻↑→该支路电流↓;另一支路不变
③开关:闭合新增支路 →R总↓→I总↑
步骤 3:先总后分、串正并反
<1>串联(串正):
滑变R↑ → 它的电压U↑ → 定值电压U↓ → 电流I↓
口诀:一增一减、同阻同压
<2>并联(并同):
各支路电压 = 电源电压(不变)
滑变R↑ → 该支路I↓;另一支路I不变

步骤 4:安全边界、极值范围
①圈出:电流表量程、电压表量程、滑变规格、灯泡额定
②找限制:谁先到极限(额定电流 / 量程电压)
③算两端:最小电流→最大电阻;最大电流→最小电阻
03

动态电路通用解题思路
一、先 “拆电路”:把复杂图看简单
遇到动态电路,第一步永远是梳理电路结构,而不是急着算数值。
①去表简化
电压表当作开路,先遮住不看;电流表当作导线,直接看成连通的线。
②判断串并联
电流只有一条路径,就是串联;电流分成多条支路再汇合,就是并联。
③明确电表测谁
电流表串联在哪,就测哪条支路 / 整个电路的电流;电压表并联在谁两端,就是测谁的电压。
这一步看似基础,却是天津中考里最容易丢分的地方,电路判断错,后面全错。
二、滑片移动类:按 “电阻→电流→电压” 顺序推
1、看滑片移动方向,先判断滑动变阻器接入电路的电阻是变大还是变小。
2、判断总电阻变化,串联电路中,一个电阻变大,总电阻一定变大;并联电路中,一条支路电阻变大,总电阻也会变大。
3、判断总电流变化,电源电压不变,总电阻变大 → 电流变小;总电阻变小 → 电流变大。
4、推导各部分电压
串联:电阻越大,分得电压越大,“阻大压大”;定值电阻:电流变小,它两端电压也变小;滑动变阻器:电阻变大,它两端电压通常会变大
三、开关通断类:抓 “前后两种状态” 对比
开关切换会改变电路结构,解题关键是:
分别画出开关断开和开关闭合的等效电路;对比前后总电阻怎么变;再用欧姆定律判断电流、电压的变化。
特别注意:开关动作可能造成短路、增加支路、减少用电器,每一种都会明显改变总电阻,一定要逐一分析。
四、范围与极值题:抓住 “安全限制”
天津压轴题特别喜欢考电流、电压、电阻的范围,思路只有一条:
先找所有限制条件:电流表量程、电压表量程、滑动变阻器允许最大电流、用电器额定值。
找到最严格的那个条件,以此为临界值。分别算出:电流最大时的电路状态、电流最小时的电路状态
再由此推出滑动变阻器的取值范围、电压范围等。
五、快速判断小技巧(考场秒用)
串联电路:一个变大,另一个通常变小,一增一减很规律
并联电路:各支路互不影响,一条支路变化,不影响另一条
定值电阻:U/I 始终不变,这是很多题的突破口
只要电源电压不变,优先从总电阻和总电流入手
六、总结一句话
动态电路万变不离其宗:先看清电路,再分析电阻,由总电流推各部分电压,范围题抓安全临界,按步骤走就不会错。
题型与具体例题思路分析
类型一:滑动变阻器的滑片P的位置的变化引起电路中电学物理量的变化。
1、串联电路中滑动变阻器的滑片P的位置的变化引起的变化问题。
2、并联电路中滑动变阻器的滑片P的位置的变化引起的变化问题。

类型二:电键的断开或闭合引起电路中电学物理量的变化。
1、串联电路中电键的断开或闭合引起的变化问题。
2、并联电路中开关的断开或闭合引起的变化问题。

类型三:电学物理量的差值、比值、乘积、变化量等问题。
1、串联电路中电学物理量的差值、比值、乘积、变化量等问题。
2、并联电路中电学物理量的差值、比值、乘积、变化量等问题。



04

高频易错避坑与备考建议
高频易错点分析与避坑提醒
1、电压表测谁看错
错:直接看接线柱
对:方框法、排除电源法
2、串正并反记反
串联:电阻与电压正比(同增同减)
并联:支路电压不变、互不影响
3、极值只看滑变、不看量程 / 额定
必须先判断:电流表 / 电压表 / 灯泡 / 滑变谁先超限
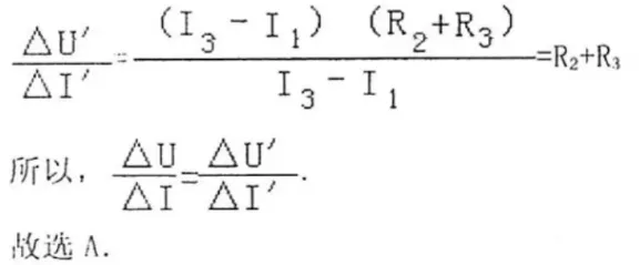
4、变化量不会用(压轴)
ΔU定=ΔI⋅R定
两电压表示数变化量:∣ΔU1∣=∣ΔU2∣
5、并联当串联分析
并联:支路独立、电压不变、只影响本支路电流
2026年备考建议
①选择题:
练串联基础变化、方框法、串正并反,3 分必拿
②压轴题:重点练
串联 + 双电压表 + 极值范围 + I–U 图像
变化量 ΔU/ΔI、安全边界判断
③刷题方向:
近 10 年天津真题
天津各区模拟:串联动态、范围计算、图像结合
【总结】
天津中考动态电路:选择必考、压轴高频;核心是串联 + 滑变 + 极值 + 安全。掌握4 步法 + 串正并反 + 边界判断,选择稳拿 3 分,压轴突破高分。2026 年电学概率回升,动态电路必重点突破!