AP微积分BC第二章关键考点与典型真题解析

四季读书网 6 0
AP微积分BC第二章关键考点与典型真题解析
AP微积分BC第二章关键考点与典型真题解析 第1张
AP微积分BC第二章关键考点与典型真题解析 第2张
第1题解析:
AP微积分BC第二章关键考点与典型真题解析 第3张
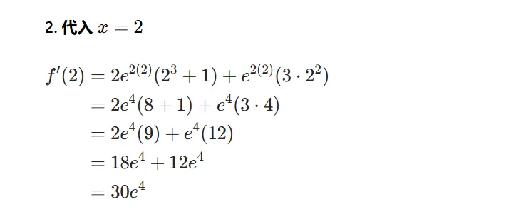
第2题解析:
AP微积分BC第二章关键考点与典型真题解析 第4张
AP微积分BC第二章关键考点与典型真题解析 第5张
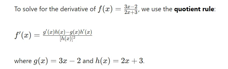
第3题解析:
AP微积分BC第二章关键考点与典型真题解析 第6张
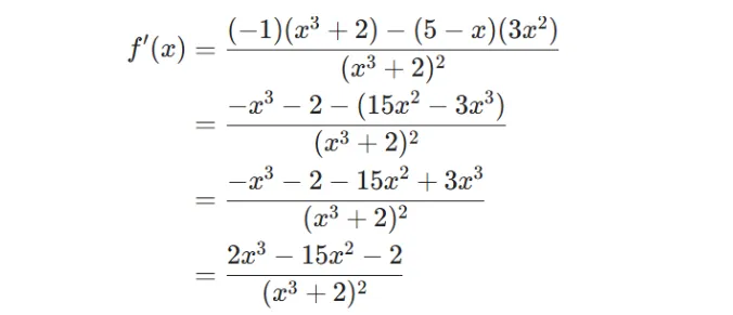
第4题解析:
AP微积分BC第二章关键考点与典型真题解析 第7张
第5题解析:
AP微积分BC第二章关键考点与典型真题解析 第8张
AP微积分BC第二章关键考点与典型真题解析 第9张
AP微积分BC第二章关键考点与典型真题解析 第10张
第6题解析:
AP微积分BC第二章关键考点与典型真题解析 第11张
第7题解析:
AP微积分BC第二章关键考点与典型真题解析 第12张
AP微积分BC第二章关键考点与典型真题解析 第13张
第8题解析:
AP微积分BC第二章关键考点与典型真题解析 第14张
AP微积分BC第二章关键考点与典型真题解析 第15张
第9题解析:
AP微积分BC第二章关键考点与典型真题解析 第16张
AP微积分BC第二章关键考点与典型真题解析 第17张
第10题解析:
AP微积分BC第二章关键考点与典型真题解析 第18张
AP微积分BC第二章关键考点与典型真题解析 第19张
AP微积分BC第二章关键考点与典型真题解析 第20张

抱歉,评论功能暂时关闭!