25-26宁波高三4月二模考试数学试卷及答案

四季读书网 6 0
25-26宁波高三4月二模考试数学试卷及答案

25-26宁波高三4月二模考试数学试卷及答案 第1张

25-26宁波高三4月二模考试数学试卷及答案 第2张
25-26宁波高三4月二模考试数学试卷及答案 第3张
25-26宁波高三4月二模考试数学试卷及答案 第4张
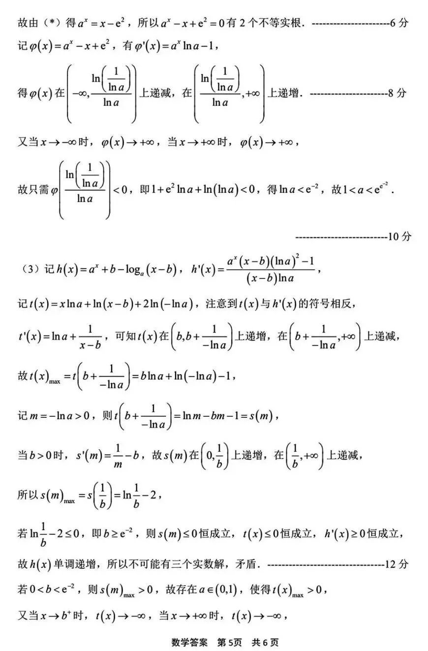
25-26宁波高三4月二模考试数学试卷及答案 第5张
25-26宁波高三4月二模考试数学试卷及答案 第6张
25-26宁波高三4月二模考试数学试卷及答案 第7张
25-26宁波高三4月二模考试数学试卷及答案 第8张
25-26宁波高三4月二模考试数学试卷及答案 第9张
25-26宁波高三4月二模考试数学试卷及答案 第10张

抱歉,评论功能暂时关闭!