本次试卷为高一年级数学第一次月考试卷,紧扣高一数学核心教学内容,以三角函数与平面向量为两大考查主线,试卷结构贴合高考题型规范,设置8道单项选择题、4道多项选择题、3道填空题及5道解答题,满分150分、答题时长120分钟,整体呈现“基础打底、中档区分、难题拔高”的命题特点。从知识点覆盖来看,三角函数模块占比超60%,涵盖任意角与象限角判断、诱导公式、三角恒等变换、正弦型函数图像与性质等核心考点;平面向量模块占比约40%,聚焦向量坐标运算、数量积、向量与几何图形的综合应用,同时融入函数周期性、奇偶性等拓展内容,全面考查学生对基础概念的理解与知识迁移能力。从试卷难度分布与命题导向分析,基础题占比约50%,多为教材例题、课后习题的直接改编,如单项选择题第1题的象限角辨析、第15题的单位圆三角函数求值,侧重考查学生对基本公式、概念的掌握程度,确保基础扎实的学生能稳定得分;中档题占比约35%,以三角函数图像平移、向量数量积综合运算、三角恒等变换求值为核心,如第4题的函数图像平移、第10题的向量投影与模长最值,需要学生结合公式灵活变形,体现对知识综合应用能力的考查。
















难题占比约15%,集中在多项选择题第11题的函数性质综合、解答题第18题的“算两次”原理应用、第19题的含参函数恒成立问题,侧重考查数学抽象、逻辑推理与转化化归的核心素养,有效区分不同层次学生的数学能力。针对本次试卷反映的问题,后续学习需制定精准的提升策略。首先,回归教材夯实基础,梳理三角函数、向量的核心概念与公式,通过专项练习强化概念辨析,避免混淆相似知识点;其次,强化公式应用与运算训练,针对三角恒等变换、向量数量积等高频考点,开展每日限时计算练习,提升运算准确性与公式变形能力;再者,聚焦综合题型突破,整理三角函数与向量结合的典型例题,总结数形结合、转化化归的解题方法,同时规范解答题书写步骤,确保逻辑清晰、步骤完整;最后,建立错题复盘机制,将本次月考错题分类整理,标注错误原因与解题思路,定期复盘巩固,逐步弥补知识漏洞,提升数学综合解题能力。
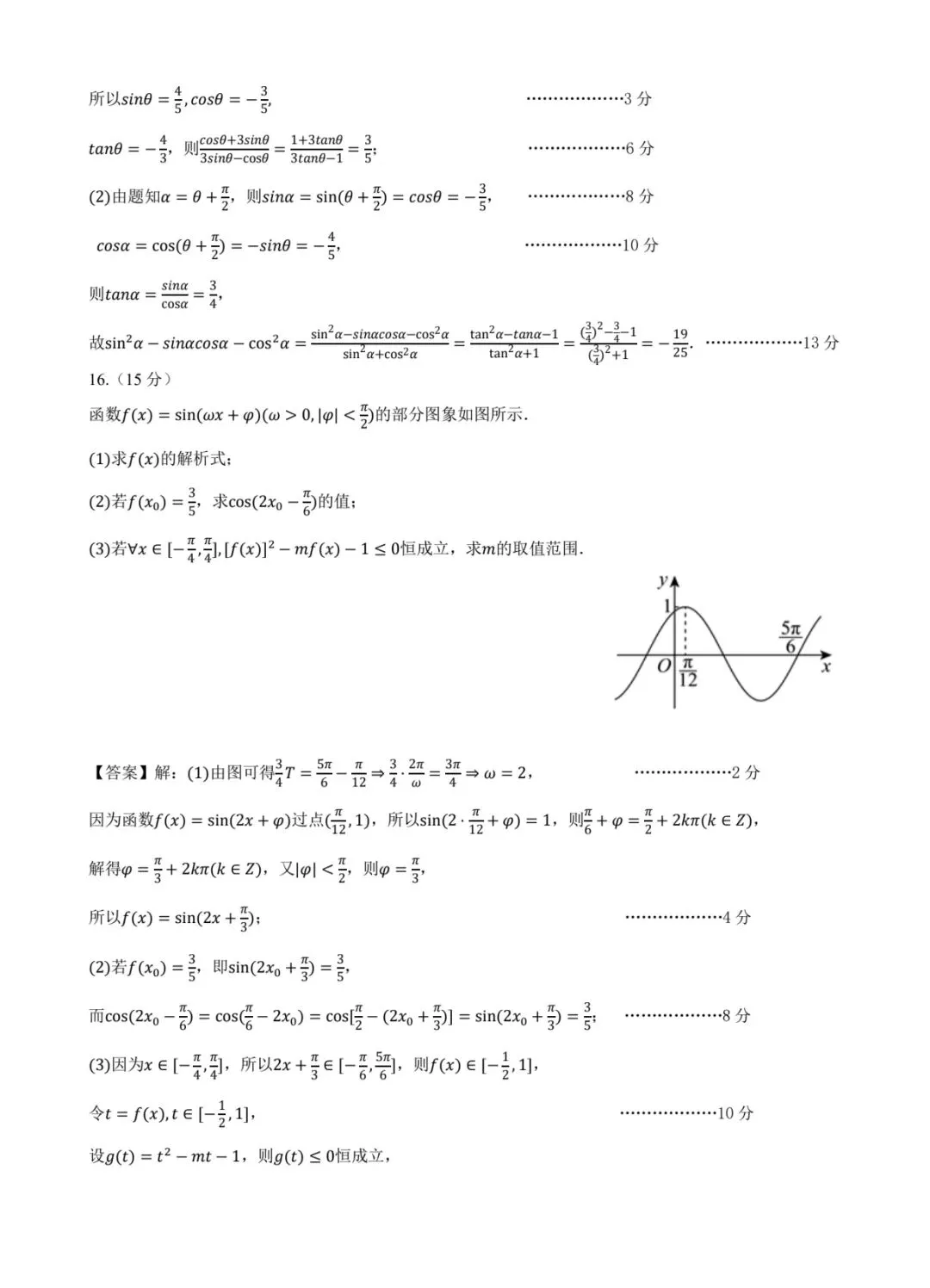
本文试卷仅做知识点讲解与学习分享,非商用,若涉及版权问题,请联系后台删除