
全国大学生数学竞赛自 2009 年创办以来,每年一届、由全国高校轮流承办,至今已成功举办十六届,累计参赛学子超 200 万人,已然成为国内规模最大、影响力最广、认可度最高的全国性大学生学科竞赛之一。
第十七届全国大学生数学竞赛决赛暨颁奖大会定于2026 年 4 月 17 日 —19 日在四川成都隆重举行,由四川大学主办,成都理工大学、四川省数学会联合协办。
本次颁奖直播将完整呈现获奖名单公布、荣誉授予、现场表彰等精彩环节,全方位记录每一位学子的耕耘与收获,展现数学之美、思辨之光。无论你是参赛选手、指导教师,还是心怀热爱的数学爱好者,都可在直播间共赴这场学术盛宴,感受青春力量与数学魅力。
此外,科学出版社也将重磅亮相本届竞赛现场,携精品图书与专属福利倾情助力。为回馈广大师生的热爱与坚守,组委会特别推出三大现场专属活动,干货满满、福利多多,诚邀各位老师、同学莅临现场,打卡参与,共赴数学之约!直播预约
第十七届全国大学生数学竞赛决赛颁奖大会
将于4月19日上午9:00
在科学出版社视频号直播
(点击上方卡片预约直播)
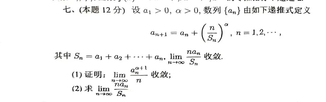
小编也为大家整理了考场回忆版真题(如有真题不符,请理解,考生考后会议会有差错)
非数A




小编做的填空答案为:

非数B



小编做的填空答案为:

题目为考后回忆版本,后续真题标答将第一时间在下方群里发送
欢迎大家加入大学生竞赛交流群:

其他赛事推荐:
最新通知:关于举办2026年江苏省高等学校第二十三届高等数学竞赛的通知(附历届竞赛真题)


















