点击上方☝蓝字,关注不迷路
为帮助广大初三学子第一时间进行考后复盘、精准定位知识漏洞,我们独家整理了《2026年嘉兴市中考一模数学试题卷》及由官方发布的《完整参考答案与评分标准》。本套资料试题新、答案准、解析全,是你进行自我诊断、高效调整复习节奏的权威依据。

试卷部分经典题目与亮点速览
第4题·科技热点:以我国自研人工智能“DeepSeek”全球下载量(3.8亿次)为背景,考查科学记数法。
第8题·实践建模:通过“天平称硬币”的实际操作,建立二元一次方程组模型,考查数学应用能力。
第10题·函数探究:在反比例函数与几何综合背景下,探究动点横坐标满足的代数关系,考查抽象思维与代数推理。
第20题·数据分析:结合“身体质量指数(BMI)”这一健康概念,考查数据统计、扇形图分析及用样本估计总体,贴近生活。
第22题·综合实践:以“平行四边形木板拼接成矩形”为现实问题,通过尺规作图与几何证明,综合考查阅读理解、动手操作与逻辑推理能力,体现“做中学”理念。
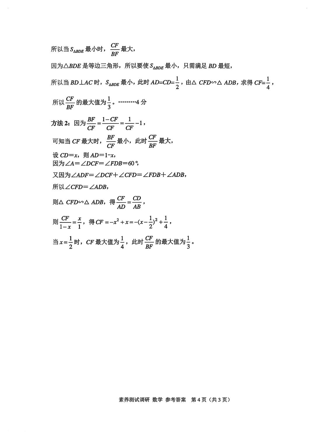
第24题·几何压轴:在等边三角形中探究旋转背景下的线段关系、面积计算与最值问题,全面检验几何变换、相似三角形及函数思想的综合运用。










如何获取完整资料?
✅ 即可获取完整试卷与详细解析的网盘链接(持续更新,欢迎订阅),可下载打印或转存
写在最后
中考冲刺,贵在坚持与方法。希望这份精心整理的资料能成为你复习路上的得力助手,助你稳扎稳打,查漏补缺,自信迎考!欢迎将本文分享给有需要的同学或家长,共同进步!关注我们,持续获取更多优质学习资源和备考指导。