江西九江市2026届高三第二次高考模拟统一考试数学试卷深度评析
一、试卷整体架构与难度梯度
1. 结构设计科学合理
本试卷严格遵循高考评价体系,总分150分,考试时间120分钟,题型分布均衡:
基础能力区:单项选择8题(40分)+多项选择3题(18分) 综合能力区:填空题3题(15分)+解答题5题(77分) 知识模块分布:函数与导数(25%)、解析几何(20%)、立体几何(18%)、三角函数(15%)、概率统计(12%)、数列(10%)
2. 难度梯度层次分明
基础层次(40%):如第1题(集合并集)、第2题(复数模)、第9题(三角函数性质)等,主要考查基本概念与简单应用 中等层次(40%):如第5题(向量与平行四边形)、第6题(等差数列最值)、第14题(抛物线与三角形)等,需要知识迁移与分析能力 高难层次(20%):如第8题(抽象函数零点)、第11题("m数列"新定义)、第19题(AI学习概率模型)等,对综合思维与创新能力要求极高
3. 能力考查维度多元
数学抽象:第8题函数性质、第11题"m数列"定义 逻辑推理:第7题双曲线与圆关系、第19题概率模型 数学建模:第3题线性回归、第19题AI学习策略 直观想象:第5题向量表示、第16题圆台几何 数学运算:第12题二项式展开、第18题导数应用 数据分析:第3题、第19题统计与概率
二、命题特色与创新方向
1. 情境化与应用性突出
生活实际:第14题古镇木门轮廓拟合为抛物线,与建筑工匠工作结合 科技前沿:第19题AI智能体学习策略,体现人工智能时代特色 数据驱动:第3题变量线性相关,收集样本数据分析 价值引领:试题设计蕴含理性思维与科学精神
2. 思维能力导向明确
多角度思考:第10题长方体截面面积最值,需几何直观与代数计算结合 严谨推导:第19题(3)概率等式证明,要求严密逻辑 探究意识:第11题"m数列"规律探究,培养研究精神 过程重视:解答题强调步骤分,看重思维过程而非仅结果
3. 创新题型设计精巧
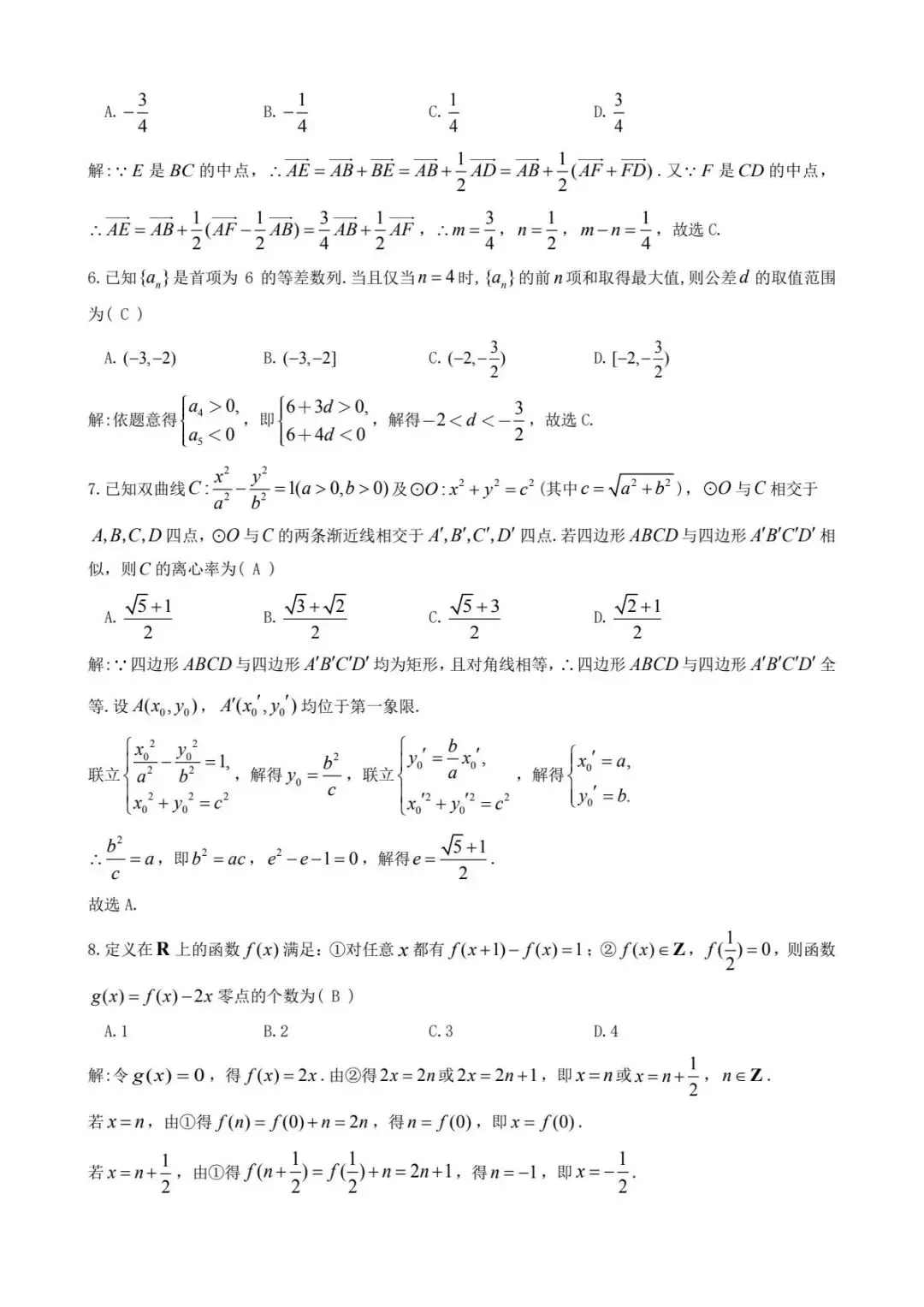
新定义函数:第8题定义满足f(x+1)-f(x)=1且f(x)∈Z的函数 数列创新:第11题创新定义"m数列",与二进制表示紧密联系 跨学科融合:第19题将AI学习策略与概率模型结合 几何本质:第7题双曲线与圆相交成相似四边形,揭示几何本质
三、典型题目深度剖析:第19题
题目概要
某AI智能体进行学习任务,第i次任务成功预测概率为pᵢ=(a+Sᵢ₋₁)/(a+b+i-1)。记Xᵢ表示第i次结果,若成功Xᵢ=1,失败Xᵢ=0,Sₙ=ΣXᵢ。(1)比较p₁、p₂大小;(2)求S₂分布列;(3)证明P(Sₙ=k)=Cₙᵏ·[a(a+1)...(a+k-1)·b(b+1)...(b+n-k-1)]/。
难度与特点
难度级别:极高(★★★★★),作为压轴题具有极强区分度 综合性强:融合条件概率、随机变量、组合数学、数学归纳 抽象程度高:需理解AI学习机制,抽象为概率模型
题源与考点
题源背景:源自机器学习中的贝叶斯推断与强化学习理论 核心考点: 条件概率与全概率公式 随机变量分布列构建 概率模型归纳与递推 组合计数与排列组合 复杂概率等式证明
解题策略评析
(1)概率大小比较:
- p₁=a/(a+b)
,p₂=(a+X₁)/(a+b+1) 当X₁=1时p₂>p₁;当X₁=0时p₂<p₁ 条件依赖关系揭示AI学习中动态调整特性
(2)分布列计算:
- S₂可能取值0,1,2
- P(S₂=0)=b(b+1)/
- P(S₂=1)=2ab/
- P(S₂=2)=a(a+1)/
(3)概率等式证明:
关键洞察:任一特定序列的概率可分解为成功与失败贡献 成功贡献:(a)(a+1)...(a+k-1) 失败贡献:(b)(b+1)...(b+n-k-1) 分母共性:(a+b)(a+b+1)...(a+b+n-1) - Cₙᵏ
表示k次成功的排列组合数
教育价值
此题体现高考命题"能力立意"导向,考查学生:
将前沿科技抽象为数学模型的能力 严谨证明复杂等式的能力 多步骤问题解决的系统思维 为大学概率论与机器学习学习奠定基础
四、值得关注的两道题目
1. 第8题:抽象函数零点分析
题目内容:定义在R上函数f(x)满足:①f(x+1)-f(x)=1;②f(x)∈Z,f(1/2)=0。求g(x)=f(x)-2x零点个数。
推荐理由:
抽象程度高:函数满足递推关系与整数值特性,需深入理解函数本质 思维层次深: 证明f(n)=n+f(0),f(n+1/2)=n 分析x=n与x=n+1/2两种情况 证明仅两个零点:x=f(0)与x=-1/2 高等数学衔接:与数论、函数方程理论相关 解法精妙:利用函数递推与整数性质,结合零点方程求解 区分度明显:能有效区分学生对函数本质的理解深度 教学导向:引导教师重视函数性质教学,超越机械计算
2. 第11题:"m数列"新定义
题目内容:有穷数列{aₙ},每项为0或1,末项为1,若m=a₁·2¹+a₂·2²+...+aₙ·2ⁿ,则称{aₙ}为"m数列",S(m)为项和。
推荐理由:
创新性强:引入与二进制表示相关的"m数列"概念 思维层次多: - (A)20
的二进制表示为10100 - (B)m=4ⁿ⁺¹-2
时S(m)=2n+1 - (C)S(m)=2
且m≤30时求所有m之和 - (D)
∑(k·S(2ᵏ))计算 跨学科价值:与计算机科学二进制表示紧密联系 解法多元: 利用二进制与十进制转换 分析位数与1的个数关系 应用组合数学思想 教育意义:培养学生将抽象概念与具体计算结合的能力 前沿导向:体现信息时代数学教育特点
五、总结与教学启示
本试卷精心设计,既保证基础考查,又体现能力选拔,对高三复习具有重要指导价值。试卷亮点在于:
实际与前沿结合:既有古镇木门等传统文化应用,又有AI学习等前沿科技 传统与创新平衡:保持高考经典题型的同时,创新设计如"m数列"等新题型 知识与能力并重:既考查知识掌握程度,又注重数学核心素养的培养 选拔与引导兼顾:具有良好的区分度,同时引导教学关注本质理解
特别值得关注的是第19题和第8题,它们代表了高考数学命题的创新方向与思维高度。在备考中,应加强对新概念理解、多模块知识融合以及严谨证明能力的训练。
教师在教学中应:
强化概念本质理解,避免机械训练 培养多角度分析问题的能力 重视数学在科技前沿的应用 加强证明过程与思维路径训练













