北京工业大学2026年结构力学考研真题及答案

四季读书网 6 0
北京工业大学2026年结构力学考研真题及答案

北京工业大学2026年结构力学考研真题及答案

北京工业大学2026年结构力学考研真题及答案 第1张
最近从网上看到一博主收集了一堆学校26年结构力学、材料力学考研真题,准备转发过来。他没做答案,我顺便做下答案,有错误之处直接留言即可。
北京工业大学结构力学是土木水利的专业初试课程,内容范围广,涵盖了结构力学上下册所有内容,但难度不大。
第一题:计算体系的计算自由度,并进行机动分析;
第二题:作结构的弯矩图;
第三题:利用对称性、力法求解超静定结构,作弯矩图;
第四题:利用位移法求解超静定结构,作弯矩图;
第五题:利用位移法求解超静定结构,作弯矩图;
第六题:单自由度体系在动力荷载作用下的位移响应;
第七题:作连续梁的影响线;
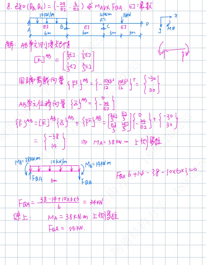
第八题:利用矩阵位移法求杆端力,A点的弯矩和剪力;
第九题:求结构的临界荷载;
第十题:求结构的极限荷载。
北京工业大学2026年结构力学考研真题及答案 第2张
北京工业大学2026年结构力学考研真题及答案 第3张
北京工业大学2026年结构力学考研真题及答案 第4张
北京工业大学2026年结构力学考研真题及答案 第5张
北京工业大学2026年结构力学考研真题及答案 第6张
北京工业大学2026年结构力学考研真题及答案 第7张
北京工业大学2026年结构力学考研真题及答案 第8张
北京工业大学2026年结构力学考研真题及答案 第9张
北京工业大学2026年结构力学考研真题及答案 第10张
北京工业大学2026年结构力学考研真题及答案 第11张
后续陆续上传,你有资料也可以发给我,,,,

抱歉,评论功能暂时关闭!