【中考压轴题冲刺·Day 2】二次函数胡不归最值问题和图形变换平移角度存在性问题
今日距中考还有57天,“自己的努力就像二次函数的a值永远大于零,每一步积累都在把人生的抛物线推向更高顶点。”
🟢 考情分析:二次函数代几综合问题是重庆中考每年必考题,分值10分。题型较固定第一问求解析式、第二问最值问题、第三问图形变换。其中一二问题为必拿分,(通常分值为343/253)建议让孩子先做15-20分钟再看解析。
题目来源:重庆八中2026年4月12日周考
🟢 核心思路:
第(1)问:略。
第(2)问:今天主要和第一天的题对比来看有何区别和联系。相同点:同样是两个最值,第一个求最大值第二个求最小值并且解题方法都一样。第一个最值假设P点坐标表示PD和1/4PE,二者和为二次函数求最大值,第二个最值同样是胡不归问题,自己构造三角函数值等于系数。不同点:本题第一个最值PD的转化不能一眼看出需要构造一组相似三角形,第二个最值本题需要提出系数2变为
后用胡不归。具体步骤:此题的难点在于构造相似三角形PD的转化。由题目的条件想到过点P作X轴垂线交直线AC与点H,在构造出一个三角形相似与△PHD。构造方法:过点B作BT∥AC交y轴与点T,∴△PHD∽△CTB,由△CTB知等腰三角形,故PH=PD。后面的胡不归就很容易构造了。
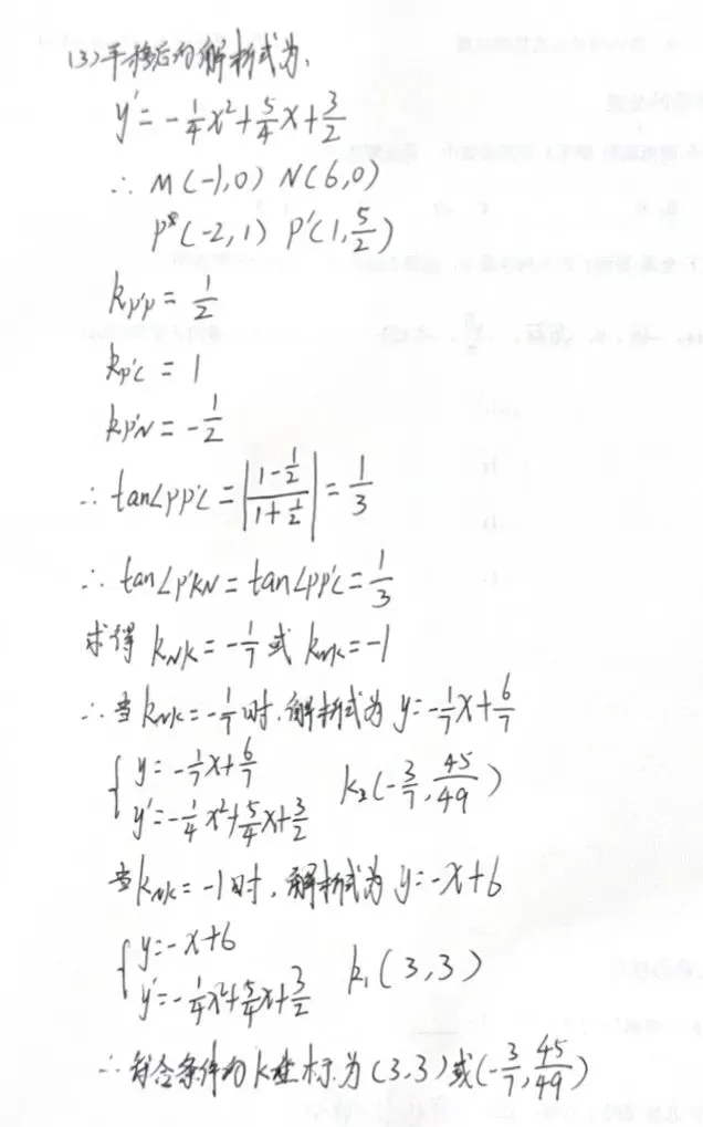
第(3)问第一步先找平移后的二次函数解析式,找出M、N以及平移后P点的坐标,第二步求出需要直线(直线P'P、P'C、P‘N)的斜率。第三步两个角度相等,正切值相等,利用夹角公式或者12345模型求出P'K的斜率,最后联立直线P'K和抛物线解析式求出K点。
🟢 图文解析:




🟢 做题过程中卡在哪一步?可留言(如“卡在第②步”),我会回复讲解。
学习不止,运动不息。明天见。

