中考临近,将陆续为各位同学整理各科必考知识点。
本期内容为:数学第六期:一次函数、反比例函数的知识点
知识点1一次函数的图象与性质
表达式 | ![]() | |||
k决定图象的倾斜方向和增减性 | k>0:从左向右看图象呈上升趋势,у随x的增大而增大 | k<0:从左向右看图象呈下降趋势,у随x的增大而减小 | ||
b决定图 象与y轴的交点位置 | b>0:交点在正半轴 | b<0:交点在负半轴 | b>0:交点在正半轴 | b<0:交点在负半轴 |
图象 (草图) |
(k>0,b>0) |
(k>0,b<0) |
(k<0,b>0) |
(k<0,b<0) |
所在象限 | 第一、二、三象限 | 第一、三、四象限 | 第一、二、四象限 | 第二、三、四象限 |
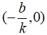
与坐标轴的交点坐标 | 即:kx+b=0 一次函数的图象与x轴交于 |
知识点2一次函数图象的平移
平移前的函数解析式 | 平移方式(m>0) | 平移后的函数解析式 | 规律 |
y=kx+b (k≠0) | 向左平移m个单位长度 | y=k(x+m)+b | 左加 右减,只给x加减 |
向右平移m个单位长度 | y=k(x-m)+b | ||
向上平移m个单位长度 | y=kx+b+m | 上加 下减,给等号右边整体加减 | |
向下平移m个单位长度 | y=kx+b-m |
注意点:
在一次函数y=kx+b中:
①忽略k≠0 这一条件,在一次函数的表达式中要注意k≠0,当k=0 时,不是一次函数;
②快速确定函数图象草图的方法:
先看k:k 代表斜率,k>0,图象↑,k<0,图象↓;
再看b:b>0,图象与y轴交于正半轴,b=0,图象过原点,b<0,图象与y轴交于负半轴。
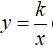
知识点3反比例函数的图象与性质
反比例函数 | ||
图象 (草图) | k>0 | k<0 |
|
| |
所在 象限 | 第一、三象限 (x,y同号) | 第二、四象限 (x,y异号) |
增减性 | 在每一象限内,y随x的增大而减小 | 在每一象限内,y随x的增大而增大 |
知识点4反比例函数的图象特征
1.关于直线 y=x、y=-x成轴对称,关于原点成中心对称;
2.图象无限接近坐标轴,但不与坐标轴相交,即 x≠0,y≠0。
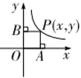
知识点5与k的几何意义有关的图形面积
图形 |
|
|
| |
面积 |
|
|
(P'、P关于原点对称) | |
注意点:
在反比例函数
中:
①确定反比例函数表达式要注意结合图象确定“k”的正负号;
②比较函数值大小时,由于x≠0,所以不能盲目仅利用增减性,而忽略区分象限。
【为及时收到每期更新内容,请添加 关注、收藏+分享
】














