整体难度:中等偏上,区分度良好- 基础题(送分题)占比约40%:考查核心公式、基本概念,如排列组合基础、统计量计算、二项式定理通项中档题占比约40%:考查公式灵活应用、分类讨论、条件概率等综合应用难题占比约20%:压轴题(数阵数列)、多选压轴、填空压轴,用于区分尖子生难度梯度:从易到难逐步提升,符合期中诊断性考试的命题逻辑,无超纲内容,所有考点均为高二下学期核心重难点!核心考查模块:计数原理与排列组合、统计与概率、二项式定理、数阵与数列综合!



知识点:平均数与中位数的分类讨论 ★★★ 分类讨论思想,中位数的定义

知识点:分组数据的均值与方差计算 ★★★ 加权均值、合并方差公式的应用

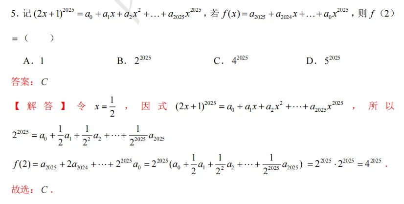
知识点:二项式定理赋值法(导数应用) ★★★ 二项式展开、赋值法、导数运算的综合

知识点:古典概型(不相邻问题) ★★★ 排列组合插空法、古典概型计算

知识点:条件概率(有放回取球停止问题) ★★★☆ 条件概率公式、事件分解、计数原理


知识点:新定义,排列数类比、递推关系证明 ★★★☆ 类比推理、组合数递推、代数变形
点评:单选题特点:前3题基础送分,4-6题中档综合,第7-8题难度提升,考查条件概率的深度应用,区分中等生与尖子生

知识点:统计量(极差、平均数、方差、百分位数) ★★★ 统计量的定义与变化规律

知识点: 组合数性质、隔板法、二项式展开系数 ★★★☆ 组合数公式、隔板法、二项式定理综合






填空题特点:12题基础送分,13题中档常规,14题作为填空压轴,考查递推计数,难度较高,需要掌握传球问题的递推模型


知识点:频率分布直方图(频率、中位数、古典概型) ★★★ 统计图表、中位数计算、古典概型


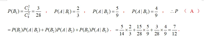
知识点:组合计数、全概率公式 ★★★ 间接法计数、全概率公式的应用


知识点:分层抽样、条件概率、组合数单调性 ★★★☆ 分层抽样、条件概率、组合数最值


知识点: 数阵与数列综合(大小比较、求和、不等式恒成立) ★★★★ 组合数性质、数列求和、不等式恒成立
解答题特点: 15-17题:中档解答题,考查核心公式的规范应用,是得分主力18题:统计概率综合,结合分层抽样、条件概率、组合数最值,难度中等偏上19题:压轴题,数阵与数列综合,分三小问逐步提升,第三问恒成立问题难度极高,用于区分顶尖学生
点评:
1. 核心考点占比模块 分值占比 核心考查内容 计数原理与排列组合 约40% 分步/分类计数、排列组合、二项式定理、递推计数 统计与概率 约35% 统计量、频率分布直方图、分层抽样、条件概率、全概率公式 数列与数阵综合 约25% 组合数性质、数列求和、不等式恒成立
2. 命题趋势 贴合教学进度:完全围绕高二下学期选择性必修第三册内容,无跨年级超纲题重基础、强综合:基础题覆盖核心公式,中档题综合多个知识点,压轴题考查逻辑推理与创新能力贴近实际应用:融入AI工具用户调查、产品质检等真实场景,体现数学的应用性区分度设计合理:通过分类讨论、递推计数、恒成立问题等,实现不同层次学生的区分
3、备考建议(针对本次试卷暴露的重难点)基础巩固熟练掌握计数原理、二项式定理、统计量的核心公式,确保基础题不丢分强化古典概型、条件概率的基本计算,规范解题步骤中档题突破 重点训练分类讨论思想(如中位数分类、全概率公式分类)掌握插空法、隔板法、间接法等排列组合常用技巧。熟练应用二项式定理的通项公式、赋值法,解决系数、有理项问题难题攻坚针对递推计数(传球问题)、数阵数列综合、组合数单调性等压轴考点,进行专项训练强化逻辑推理与代数变形能力,掌握组合数的递推性质、数列求和的放缩技巧
4. 易错点提醒条件概率中事件的分解、分层抽样的抽样比计算二项式展开中指数的计算、有理项的判定统计量中百分位数、中位数的计算,避免概念混淆,排列组合中“相同元素”与“不同元素”的区分,隔板法的适用条件
