



点击扫码购买卜神权威作品
纸质打印版
拼多多店获取(长按扫码)



点击下面标题可 查看作品详情 | 点击识别二维码获取 |
![]() | ![]() |
![]() | ![]() |
![]() | ![]() |
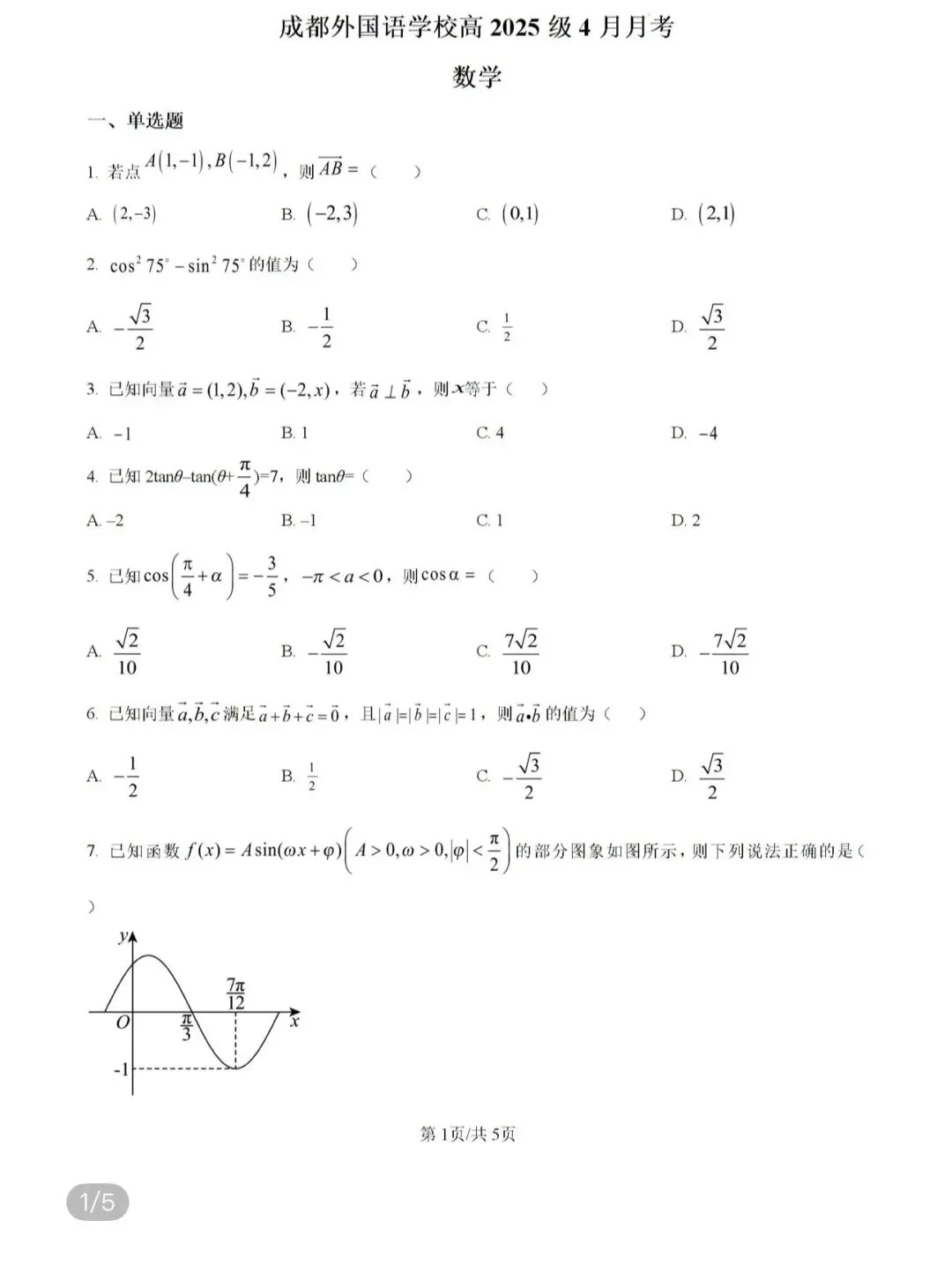
![]() |
![]() | ![]() |
![]() | ![]() |
![]() |
![]() | ![]() |
![]() | ![]() |
![]() |
![]() |
![]() |
![]() | ![]() |
![]() | ![]() |
![]() | ![]() |
![]() | ![]() |
![]() | ![]() |
|


神原创专辑电子版免费下载
(点击文件标题即可下载)
原创数学1.pdf 原创数学2.pdf 原创数学3.pdf 原创数学4.pdf 原创数学5.pdf 原创数学6.pdf 原创数学7.pdf 原创数学8.pdf 原创专辑9 原创专辑10
卜神原创专辑视频版
(点击观看下载)

(微信里面识别下面图码)

精品解析:四川省绵阳南山中学2026届高三下学期4月月考数学试题
精品解析:广东珠海市第一中学2025-2026学年高二下学期第一阶段考试数学试题精品解析:黑龙江哈尔滨市第九中学校2025-2026学年高二下学期4月阶段性测试数学试题四川省宜宾市2026年高中数学竞赛试题(高一组)海南文昌中学2025-2026学年高一下学期第一次月考数学试题辽宁大连市第四十八中学2025-2026学年高一下学期4月阶段性学情反馈数学试卷
精品解析:甘肃兰州西北中学2025-2026学年高三第一学期第一次月考数学试题
精品解析:四川眉山市2026届高三下学期二诊数学试题
山西太原市2026届高三年级模拟考试(一)数学试卷
精品解析:四川成都市树德中学2025-2026学年高二下学期4月月考数学试题
上海市黄浦区2026届高三二模考试数学试卷
精品解析:河南省实验中学2025-2026学年高二下学期月考数学试卷(一)
精品解析:四川成都市树德中学2025-2026学年高二下学期4月月考数学试题
上海市黄浦区2026届高三二模考试数学试卷
精品解析:四川省成都市树德中学2025-2026学年高一下学期4月阶段性测试数学试题
河北正定中学2025-2026学年高二年级下学期第一次月考数学试卷
安徽滁州市2025-2026学年高三下学期学情评估数学试卷
安徽滁州市2025-2026学年高三下学期学情评估数学试卷
黑龙江大庆市2026届高三年级第三次教学质量检测数学试题
山东泰安市2026届高三二轮检测数学试题
贵州贵阳市清华中学2025-2026学年高一下学期第一次月考数学试题
内蒙古包头市2026届高三下学期二模数学试卷
湖南衡阳市2026届高三下学期第二次联考数学试题
山西运城市2026年高考考前适应性测试数学试题
山东省济南第一中学等校2025-2026学年高二下学期期中数学试题
精品解析:四川成都外国语学校2025-2026学年高一下学期4月考试数学试题
安徽滁州市2026届高三第二次教学质量监测数学试题
江苏南京市校际联盟2025-2026学年高一下学期四月联考数学试卷
四川省成都市第七中学2025-2026学年高三下学期4月阶段性测试数学试题
广东茂名市2026年高三下学期第二次综合测试数学试卷
精品解析:江苏南通市启东市第一中学2025-2026学年高二下学期第一次素质检测数学试题
江苏南京市第二十九中学2026届高三下学期4月阶段性检测数学试卷
山东济南市2026届高三第二次模拟考试数学试题
精品解析:江苏省前黄中学2026届高三二模适应性练习数学试题
精品解析:重庆市四川外国语大学附属外国语学校2025-2026学年高一下学期四月检测数学试题
江苏省东海高级中学2026届高三下学期4月月考数学试题
湖南多校2025-2026学年高三下学期4月联考数学试卷
































































(微信里面识别下面图码)




































