2025清华大学自招强基真题和答案解析

四季读书网 10 0
2025清华大学自招强基真题和答案解析
强基自招综评作为高考的补充,是对高考中有些微失误的一次补救,也是对于专业的一次考核,对人才选拔至关重要。
2025清华大学自招强基真题和答案解析 第1张
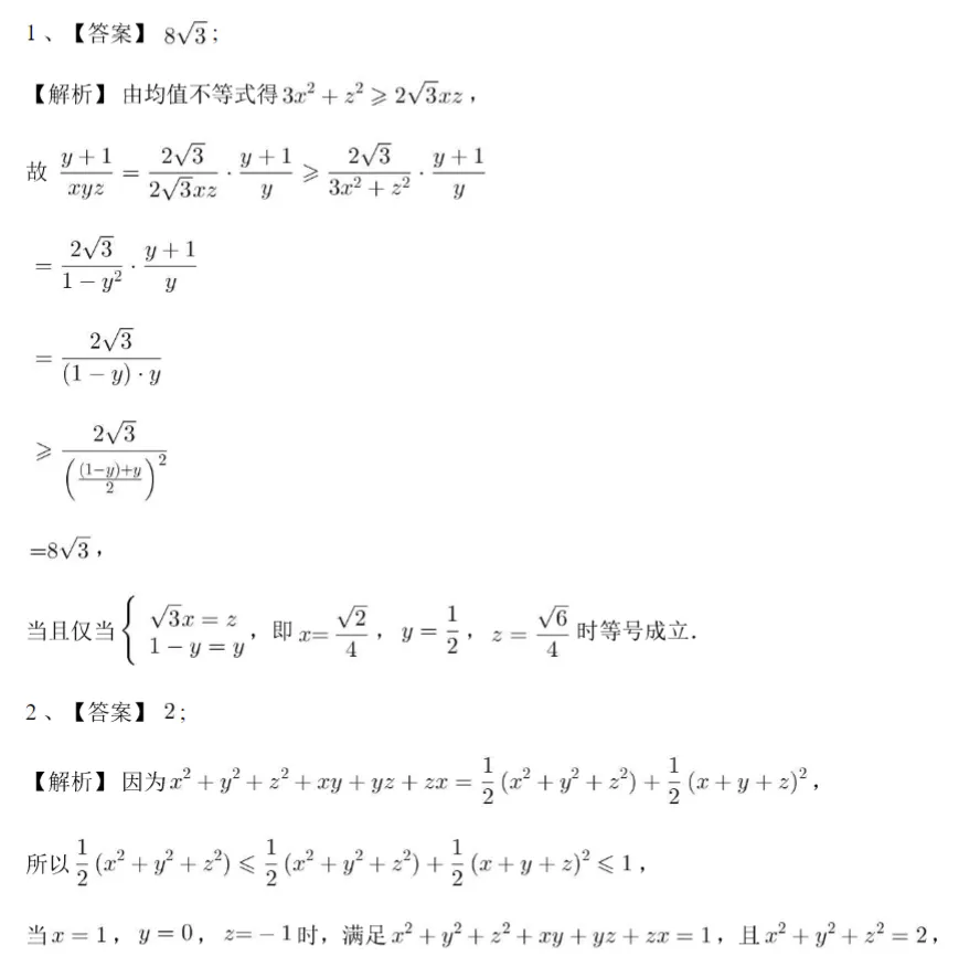
2025清华大学自招强基真题和答案解析 第2张
2025清华大学自招强基真题和答案解析 第3张
2025清华大学自招强基真题和答案解析 第4张
2025清华大学自招强基真题和答案解析 第5张
获取上述资料的方式如下:
1、需要纸质版的可扫码自行打印(先设置打印纸张,装订样式,再预览)
2025清华大学自招强基真题和答案解析 第6张
2、需要电子版的可以微信扫描咨询。
2025清华大学自招强基真题和答案解析 第7张

相关阅读

高联代数

高联一试之四

高联一试之三

高联一试之二

高联一试之一

清华强基数学物理基础课视频

高联二试300讲经典系统课

北大强基真题资源

高联一试学习参考书籍

组合必看书籍推荐

数论必看书籍推荐

几何必看书籍推荐

代数必看书籍推荐

高联不等式专题资源

2025高联专题和模拟刷题备考系列

2024年高联二试四大模块系统课

高联刷题

高联几何

高联组合

高联数论专题

清华新领军历年真题和解析

中科大数学物理历年真题和视频讲解

2025强基计划备考资源

抱歉,评论功能暂时关闭!