江西九江市2026届高三第二次高考模拟统一考试数学试卷及答案

四季读书网 8 0
江西九江市2026届高三第二次高考模拟统一考试数学试卷及答案
江西九江市2026届高三第二次高考模拟统一考试数学试卷及答案 第1张
江西九江市2026届高三第二次高考模拟统一考试数学试卷及答案 第2张
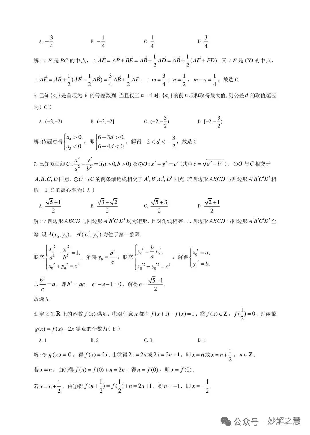
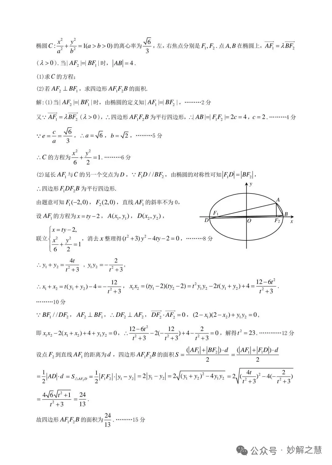
江西九江市2026届高三第二次高考模拟统一考试数学试卷及答案 第3张
江西九江市2026届高三第二次高考模拟统一考试数学试卷及答案 第4张
江西九江市2026届高三第二次高考模拟统一考试数学试卷及答案 第5张
江西九江市2026届高三第二次高考模拟统一考试数学试卷及答案 第6张
江西九江市2026届高三第二次高考模拟统一考试数学试卷及答案 第7张
江西九江市2026届高三第二次高考模拟统一考试数学试卷及答案 第8张
江西九江市2026届高三第二次高考模拟统一考试数学试卷及答案 第9张
江西九江市2026届高三第二次高考模拟统一考试数学试卷及答案 第10张
江西九江市2026届高三第二次高考模拟统一考试数学试卷及答案 第11张
江西九江市2026届高三第二次高考模拟统一考试数学试卷及答案 第12张
江西九江市2026届高三第二次高考模拟统一考试数学试卷及答案 第13张
江西九江市2026届高三第二次高考模拟统一考试数学试卷及答案 第14张

抱歉,评论功能暂时关闭!