试题精析:重庆市名校联盟高三下联考数学试卷(高2026届)

四季读书网 7 0
试题精析:重庆市名校联盟高三下联考数学试卷(高2026届)
试题精析:重庆市名校联盟高三下联考数学试卷(高2026届) 第1张
试题精析:重庆市名校联盟高三下联考数学试卷(高2026届) 第2张
试题精析:重庆市名校联盟高三下联考数学试卷(高2026届) 第3张
试题精析:重庆市名校联盟高三下联考数学试卷(高2026届) 第4张
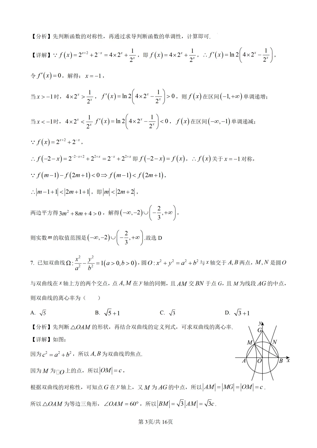
试题精析:重庆市名校联盟高三下联考数学试卷(高2026届) 第5张
试题精析:重庆市名校联盟高三下联考数学试卷(高2026届) 第6张
试题精析:重庆市名校联盟高三下联考数学试卷(高2026届) 第7张
试题精析:重庆市名校联盟高三下联考数学试卷(高2026届) 第8张
试题精析:重庆市名校联盟高三下联考数学试卷(高2026届) 第9张
试题精析:重庆市名校联盟高三下联考数学试卷(高2026届) 第10张
试题精析:重庆市名校联盟高三下联考数学试卷(高2026届) 第11张
试题精析:重庆市名校联盟高三下联考数学试卷(高2026届) 第12张
试题精析:重庆市名校联盟高三下联考数学试卷(高2026届) 第13张
试题精析:重庆市名校联盟高三下联考数学试卷(高2026届) 第14张
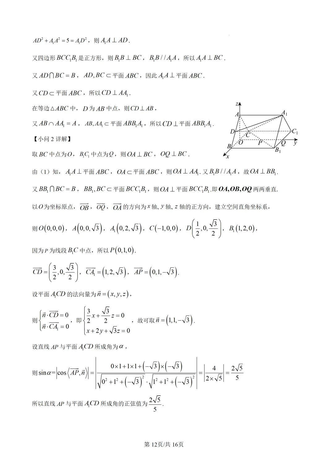
试题精析:重庆市名校联盟高三下联考数学试卷(高2026届) 第15张
试题精析:重庆市名校联盟高三下联考数学试卷(高2026届) 第16张

抱歉,评论功能暂时关闭!