
课

上
初中生物学模拟测试四
(非选择题部分)

自己改编的检测题,只是根据自己学生的复习进度编辑,可选择使用。当作练习,也有助于提高成绩。
二.非选择题(30分)
21.小明同学假期到南方旅游,看到种植水稻的稻田里还有鱼在游动。经了解,这是为践行生态农业发展理念,在我国南方各地积极实施的“稻鱼共生系统”。图为“稻鱼共生系统”模式图,请据图回答问题:

(1)在该生态系统中,浮萍和水稻之间存在关系。
(2)“稻鱼共生系统”中,稻飞虱等害虫可能使水稻减产,但它们同时是鱼类的食物,人们经常养殖鲤鱼来防治害虫,请写出养殖鲤鱼防治稻飞虱的食物链:。
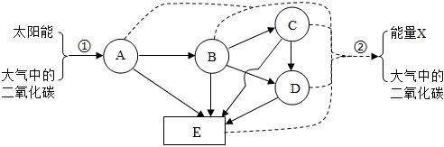
(3)“稻鱼共生系统”能够最大化地实现该生态系统的基本功能,下图是该生态系统的结构和功能示意图,其中①②代表生理过程,A~E代表生态系统的部分生物。

①“塘泥肥田,秋谷满仓”,其中蕴含的道理是塘泥中的有机物在 填字母序号)的分解作用下,转变为植物生长所需要的。
②从图中可看出,生态系统物质循环的同时也伴随着能量流动,能量流动是从[]过程开始的。
(4)稻鱼种养结合模式不仅提高空间利用率,而且减少农药、化肥的使用量,缓解土壤和水体的污染,在一定程度上提高了“稻鱼共生系统”的 能力,是生态农业的典范。粮食安全是国家安全的重要基础,2022年我国的粮食安全宣传主题是“保粮食供给,端牢中国饭碗”,小明认为我们应该为国家粮食安全贡献自己的一份力量。请你从粮食安全或节约的角度为小明提出一条可行性的建议: 。
22.贝贝瓜口感软糯,富含胡萝卜素,是菜农常种的作物。图1是贝贝瓜叶片进行的两项重要的生理活动,图2为某研究小组的探究结果(lx为光照强度单位)。

(1)在图1中贝贝瓜在有光和无光情况下都进行的生理活动的主要场所和在其中进行的能量转换分别
是。图2中的段只进行该项生理活动
(2)合成有机物最高点的光照强度和二氧化碳的浓度分别是。
(3)ef段限制光合作用的环境因素是。
(4)请根据上述研究,写出提高贝贝瓜产量的措施是(至少写出2条)
(5)有的同学们进一步思考,认为夏季中午气孔关闭会影响植物吸收二氧化碳,光合速率较低,主要原因是光照强、气温高,为降低,气孔关闭,二氧化碳不能进入叶片造成的。
23.人体是一个统一的整体,各系统既有分工又有协调配合,体重指数过高,会增加人体各系统疾病发生的几率。某生物兴趣小组就“体重管理”开展了一系列的话题讨论。图一中字母表示结构,序号①→⑩表示生理过程;图二表示人用餐后血糖的变化曲线;图三为人体尿白蛋白/肌酐比随体重增加的变化对比图。请分析图并回答:

话题一:导致人体肥胖的原因
(1)糖类是人体重要能源物质,如摄入的淀粉最终被消化为_,通过图一中[]过程进入毛细血管,图二曲线乙中BC段血糖含量下降与的分泌有关。若糖类摄入过多,剩余的糖类可在人体内转化成脂肪大量堆积,使人肥胖,而且糖类摄入过多,可能会引发糖尿病,图二中(填“甲”或“乙”)代表糖尿病患者的血糖含量变化。
话题二:肥胖与健康
(2)由图三可知,随着体重增加量的上升,尿白蛋白/肌酐比的值升高,进而使肾功能异常的风险增大。据研究推测,肥胖有可能导致尿液中的蛋白质含量增加,这主要是因为肾单位中的[]可能发生病变。
话题三:科学减肥
(3)坚持运动可帮助人们远离肥胖等慢性病。慢跑是一项中等强度的有氧运动,在跑步时,骨骼肌细胞产生的二氧化碳需依次经过心脏的(填图一中的字母和箭头)后被排出体外。
(4)运动可以促进新陈代谢从而达到减重的目的,在运动中产生的代谢废物排出体外的过程有(填图一中的序号)。
24.豌豆是遗传学研究的经典材料。研究表明,豌豆种子的皱缩性状与一段DNA序列插入相关基因导致其功能异常有关。结合遗传学知识,回答下列问题:

(1)上述DNA序列插入引起的性状变异属于(填“可遗传”或“不可遗传”)的变异
(2)一个豌豆豆荚中含有多粒种子,种子数目主要由的数量决定。结构②豆荚(果皮)的基因组成由其_(填“母本”“父本”或“母本和父本”)决定
(3)豌豆体细胞中有14条染色体,其生殖细胞中有条染色体。将圆粒豌豆植株之间进行杂交,后代出现圆粒和皱粒(如图二所示),据此可判断是隐性性状。亲本的基因组成分别是(用A.a表示显性基因和隐性基因)。若用图二中一个子代圆粒豌豆和皱粒豌豆杂交,后代出现圆粒和皱粒两种性状,则后代的圆粒豌豆所占比例为。
25.近年来,紫外线辐射对人类和动物生命活动的影响受到大众关注。为探究照射紫外线对小白鼠体重的影响,科研人员选用了12只健康且生理状况相似的小白鼠,随机均分为4组,置于除照射紫外线的时长不同之外其他条件均相同且适宜的环境中,每天定时饲喂等量的饲料和水。其他处理方式和实验结果(平均值)如下:

请据此回答下列问题
(1)通过对小白鼠的处理方式可以推断出本实验的变量是。
(2)为了控制单一变量,实验中采取的措施有:(答出一点即可)
(3)根据表格中小白鼠体重的增长率,该实验的结论是照射紫外线对小白鼠 _(填“有”或“无”)影响,且照射时间越长,影响越 (填“大”或“小”)
(4)结合上述实验结果分析,在日常生活中遇到紫外线过强时,我们应该怎么做?。
参考答案:
21.(1)竞争(2)水稻→稻飞虱→鲤鱼 (3)E 无机物(水、无机盐、二氧化碳) ①光合作用(4)自我调节 节约粮食、浪费可耻(合理即可)
22.(1)线粒体 把有机物中的能量释放出来 ab (2)800LX 600mg-1 (3)光照强度 (4)适当增加光照强度、适当增加二氧化碳浓度 (5)蒸腾作用
23.(1)葡萄糖 ①吸收 胰岛素 甲 (2)F肾小球 (3)A→C (4)③⑨⑩
24.(1)可遗传 (2)胚珠 母本 (3)7 皱粒 Aa×Aa 50%
25.(1)每天照射紫外线的时长 (2)小白鼠的健康且生理状况相似(或相同且适宜的环境或定时饲喂等量的饲料和水)(3)有 大 (4)外出时做好防晒措施
扫码可下载电子稿:

