
数学作为理科基础与思维核心,在高考里更承担着分层选拔的作用。试卷普遍按照5:3:2难度分布,即五成基础题保底,三成中档题拉分,最后两成难题,才是冲击985/211的关键分水岭。
也正因如此,很多同学平时刷基础卷很顺手,一碰到真正有难度的题就容易慌,思路断、心态崩,缺少“抗压训练”。其实高三数学想往上冲,光刷简单卷远远不够。适当啃几套高质量难题,不是为了打击自己,而是提前见识命题思路、练会考场节奏,也能锻炼抗压能力,高考遇到偏难或创新题才不会乱。
高考直通车盘点了三套公认难度在线、区分度拉满的高三数学卷,来看看是否难倒你了?


T8联考的命题方师资力量雄厚,试题无论是在原创性还是创新性上都接近实际的新高考,一直是新高考的风向标。2024年新高考试卷开始采用19题结构,因此,2025届T8联考是19题结构下的第一次T8联考。
总的来说,此张数学试卷具有很高的原创度,灵活性强,计算量和思维量都较大,特别考验学生的综合能力和知识迁移能力。虽然基础和中档题占了大部分,但压轴题(尤其是多选、填空和最后一道大题)往往引入新概念,区分度较高。










第8题,为单选压轴,难度不小,但设计很巧妙。它把内切球、平行平面、相似比和面积计算揉在一起,考查空间想象和代数运算。关键突破口是发现平面EFG平行于底面,从而由球与两者相切推出高与内切球半径的关系(h=3r),再结合体积表面积公式得到总表面积为6,进而解出PC。这道题对综合能力要求较高,区分度好,是优质题型。
第11题,属于新概念题型,选项涉及完美路径(无重复棱)和概率,新颖灵活,难度较高。整体计算量不小,但思路清晰的话可以逐个突破,属于T8联考里区分度高的多选题,适合检验学生的逻辑和建模能力。
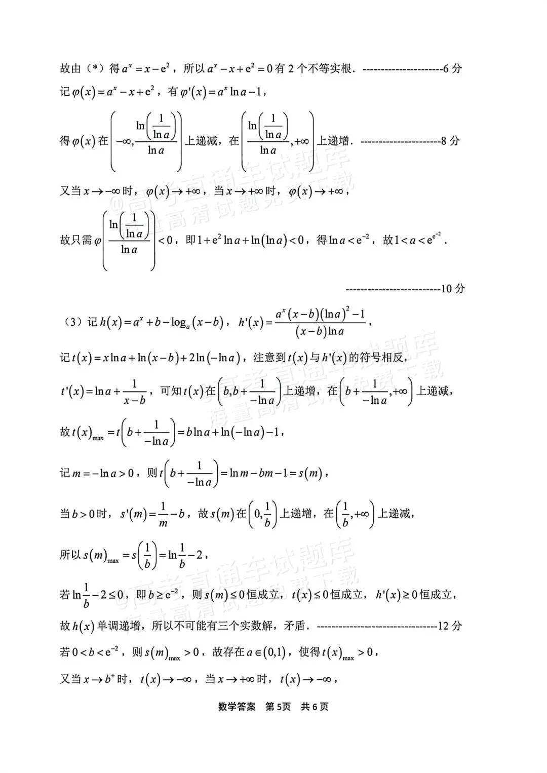
第19题,以整数数列的线性变换为背景,融合了离散动力系统、线性代数与组合构造,是一道典型的新定义压轴题。
第一问:是具体的构造验证,帮助学生理解操作含义;
第二问:则需要找到一种消元策略或不变量的充分条件,本质是构造性证明,考查数学归纳与逆向思维;
第三问:属于高阶推广,体现了对不变量理论的深化
本题的难点不在于计算,而在于对新符号的快速理解、对变换不变量的发现以及对构造性证明的严谨表述,对学生的抽象思维与逻辑推理能力要求极高,属于竞赛风格的选拔题,适合顶尖学生突破。


2026宁波二模,不少考生吐槽“难的有点过分了,考完心态就崩,让6月就要上考场的高三考生怎么获得自信心”?
本次试题题目质量很高,其中压轴题侧重空间思维、导数综合及解析几何综合,整套卷子精准聚焦学科核心素养与综合解题能力,也从侧面提醒同学们要注重审题与条件转化。










第8题,考查周期函数,需先推导数列周期,再计算大项数(2026项)的通项与前n项和,易算错周期。最简单的做法就是分奇偶,带入数据找到周期;也可用竞赛的方法,构造矩阵。
第11题,正四棱台空间轨迹,考查空间线线角、轨迹长度、距离最值,是立体几何综合计算的经典考法,需要考生建立空间坐标系,用向量法求解。
第19题,函数与导数压轴,该题符合新高考命题标准,虽然题面简洁,但是核心考点明显,思路循序渐进的。第三问存在性问题需换元、分类讨论、最值分析,零点个数判定难度极大。和经典问题“讨论a^x=log_a(x)解的个数“类似,需要扎实的导数基本功底。


前不久结束的武汉三调,难度极高、讨论度大,被网友戏称为“玩的是思维,不是计算”。
这套试卷综合创新度高,知识点覆盖全面均衡,紧扣高中数学核心内容,同时突破常规、不循旧路。在题型与难度分布上,区分度明显,包含一定比例的反套路、重能力题目,对学生的知识掌握、思维应变及应试心态均提出更高要求,能精准筛选出思维扎实、计算能力强的学生,对普通学生较不友好,具有鲜明的警醒作用与复习导向价值。
















第8题,将双曲线的几何性质与等差数列巧妙融合,是一道极具创新性的综合小题。其考查点涵盖双曲线定义、向量数量积运算以及等差数列的基本性质,知识跨度大、思维要求高,是区分顶尖学生的关键题。
从形式与难度上看,本题具有以下特点:
形式新颖,综合性强:将双曲线、向量、等差数列三个模块“硬核”结合,放到大题可以在18题的位置。考场上,绝大多数学生连题意都难以读懂。
计算量大,设置绕弯:不仅需要清晰的几何与代数转化能力,还伴随较大的计算量。即使思路正确的少数学生,在计算过程中也极易因绕弯的设问而产生自我怀疑,心态受到强烈干扰。
区分度高,影响排名:本题对学生的逻辑推理、知识迁移及心理素质均提出极高挑战,决定了顶尖分数段的排名分布。
第14题,一道精巧的三角函数性质填空题,难度偏难但质量很高,与近年武汉二调试题思路相近,被评价为所有选填压轴题中“最友善”的一道。
核心考查:三角函数图象伸缩、平移变换的本质。虽然结合了点共线和向量条件,但解法非常典型。
具体做法:是利用正弦型函数的图像,通过设出点坐标,利用 “A、B、C三点共线” 和 “向量关系” 建立方程,最终解出 ω。
本题是对基本功的考察,重在理解,既起到筛选作用,又深化概念理解,是一道兼顾思维深度与友好度的好题。
第19题,新定义压轴题,创新性地设计了一种卡片排列操作规则,不仅考查实际问题背景下的组合数表达,还涉及组合数性质与放缩技巧,对学生的逻辑思维与抽象能力提出了极高要求,综合性非常强。
从难度分布来看,三道小题层次分明:
第一问:较为基础,只要读懂题意即可得分,门槛较低。
第二问:本质上是排列组合中的“分组定序”问题:先确定比k小的数的位置,剩余数顺序自然固定,思路一旦清晰,难度并不大。
第三问:真正意义上的压轴难点,难度显著提升,对全体学生都具有较大挑战。加之前两问已耗费一定时间,且题目本身干扰信息较多,绝大多数学生难以在有限时间内快速突破,因此,这一问对整体排名的影响有限。
看完这3套卷子,我们可以发现:所谓 “难卷”,从来不是故意为难考生,而是新高考命题思路的集中体现 ——拒绝死刷题、重活学活用。
当然,很多同学刷了无数难题,却总在选择题上丢分,本质上还包括没摸透高考命题的底层规律,结合近几年的高考真题答案分布,高考直通车给大家总结了高考数学选择题黄金规律,同学们可参考:
需要提醒的是:规律是辅助,只适合检查、蒙题,绝不是万能,更不要依赖规律做题。基础扎实才是核心,只有基础牢固,才能在面对灵活多变的题目时从容应对,规律才能锦上添花;若本末倒置,一味追求套路与捷径,反而容易在考场上陷入被动。
因此,在最后倒计时的冲刺阶段,针对性提分才是关键。 不同基础的同学应当找准自己的复习重点,查缺补漏,做到有效提分:
基础知识点漏洞多,简单题丢分严重。建议先抓基础,保住简单题与中档题,稳稳攥住基础分。具体做法可参考:
回归课本:吃透公式、定理及基础题型,集中训练基础题。
刷真题基础部分:重点做近5年真题中的前8道选择、前3道填空、前3道大题,只练基础题。
错题只改基础题:不碰压轴题,把错题本上的基础题彻底弄懂。
限时训练基础套卷:每天限时完成一套选择填空的基础题,保证正确率在90%以上。
重点补足中档题短板,掌握选填快速答题技巧,提高解题效率。具体做法可参考:
刷中档题,总结套路:针对圆锥曲线、导数等模块的常规解法进行归纳。
攻克选填压轴题:每天练习1道选择或填空压轴题,掌握核心思路。
大题策略:第一问必拿分,第二问抢步骤分:即使不会做,也要写出相关公式与关键步骤。
整理错题本,聚焦粗心与细节:重点改正因马虎、细节不清导致的错误,避免重复犯错。
优先保证基础与中档题零失误,冲刺导数、圆锥曲线等压轴题的步骤分与满分。具体做法可参考:
刷难题与创新题:突破思维瓶颈,可适当练习竞赛题或名校模拟题。
错题本重点整理压轴题与细节错误:总结解题技巧,避免非智力失分。
限时整卷训练:严格按高考时间进行模拟,提升做题速度与准确率。
回归真题,反复研磨:将近5年真题刷3遍以上,吃透每一道题的命题思路与考查本质。

最后想说,高考数学从来不是“越难越公平”,而是“越会学越能赢”。不管是以上三套难题,还是其他卷子,本质是给真正会思考、会学习的学生留的舞台,总结规律,举一反三,灵活变通才是数学学习的正道。
自新高考改革后,“刷题就能拿高分”的时代已经过去。只有真正掌握数学思维、基础扎实的考生,才能在考场上游刃有余。不管你现在是哪个分数段,只要找对方法,针对性训练提分,坚持下去,也能在高考中拿到属于自己的高分。
你觉得最难的数学卷是哪一套?
欢迎评论区留言分享讨论

*本文含推广,个人观点,仅供参考
如有侵权问题,请及时联系我们(QQ:860171052)
商务合作:19802031423(微信同号)
