浙江金华十校2026年4月高三模拟考试数学试题

四季读书网 6 0
浙江金华十校2026年4月高三模拟考试数学试题
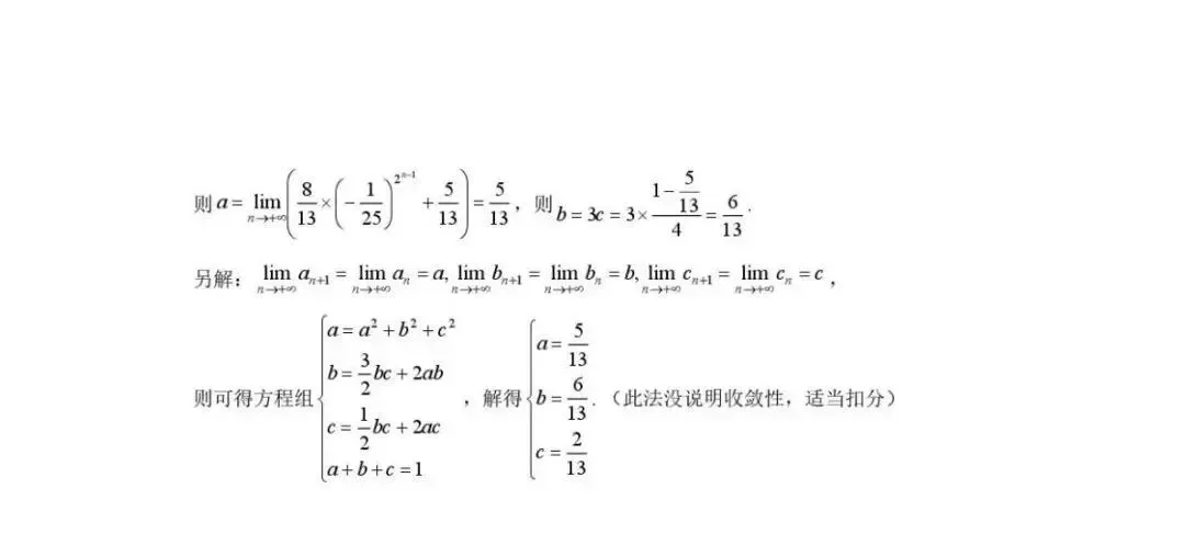
浙江金华十校2026年4月高三模拟考试数学试题 第1张
浙江金华十校2026年4月高三模拟考试数学试题 第2张
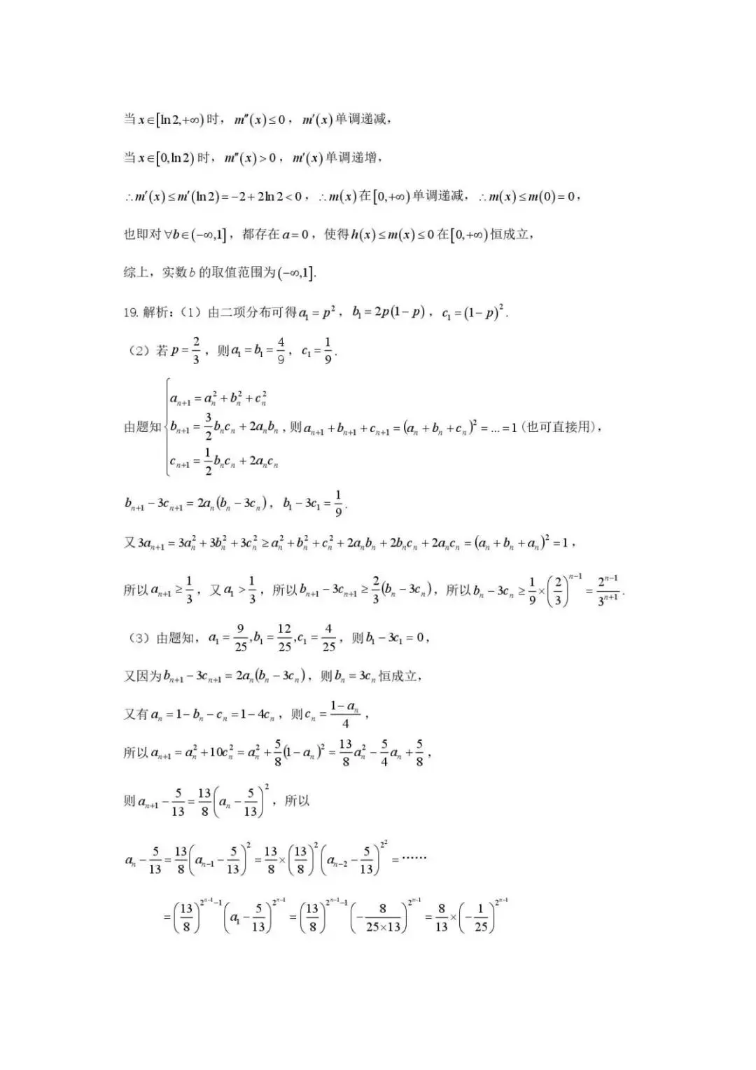
浙江金华十校2026年4月高三模拟考试数学试题 第3张
浙江金华十校2026年4月高三模拟考试数学试题 第4张
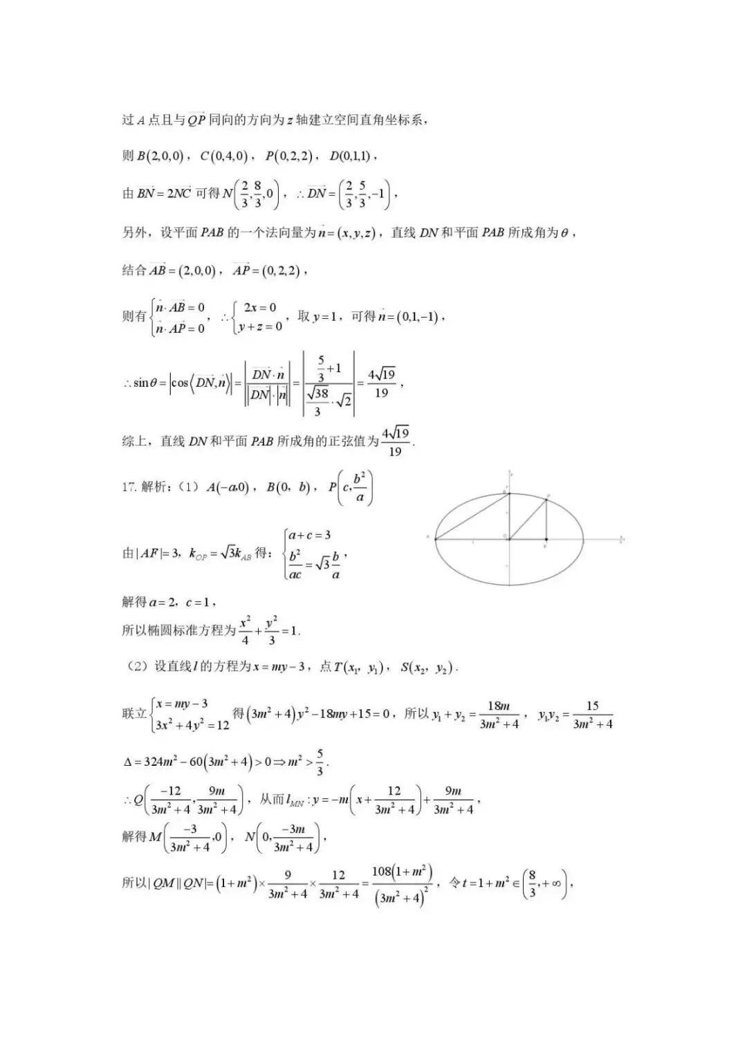
浙江金华十校2026年4月高三模拟考试数学试题 第5张
浙江金华十校2026年4月高三模拟考试数学试题 第6张
浙江金华十校2026年4月高三模拟考试数学试题 第7张
浙江金华十校2026年4月高三模拟考试数学试题 第8张
浙江金华十校2026年4月高三模拟考试数学试题 第9张
浙江金华十校2026年4月高三模拟考试数学试题 第10张

往期推荐

1

2026年3月深圳市一模考试数学试题及试卷解析

2

2026强基计划招生简章即将发布:39所高校简章查询入口+报名入口完整汇总

3

二项分布与超几何分布的应用

浙江金华十校2026年4月高三模拟考试数学试题 第11张

抱歉,评论功能暂时关闭!