🔍二次函数区间最值问题
【类型】
定轴定区间问题:对称轴、区间(x的取值范围)都固定。 动轴定区间问题:对称轴不固定(含参数情况)、区间固定。 定轴动区间问题:对称轴固定、区间不固定。 动轴动区间问题:对称轴、区间都不固定。
【几种情况】





【真题再现】


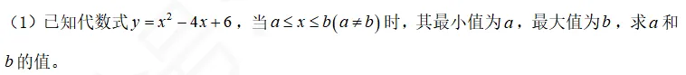
【课后作业】:


文章来源:
四季读书网
版权声明:本文内容由互联网用户自发贡献,该文观点仅代表作者本人。本站仅提供信息存储空间服务,不拥有所有权,不承担相关法律责任。如发现本站有涉嫌抄袭侵权/违法违规的内容, 请发送邮件至23467321@qq.com举报,一经查实,本站将立刻删除;如已特别标注为本站原创文章的,转载时请以链接形式注明文章出处,谢谢!