
一、试卷整体结构概览

二、题型结构及深度分析


三、试卷整体占比与命题特征

所以把这套保送卷完整拆解后会发现,试卷真正考察的从来不是单一知识点,而是贯穿小学到初中的五大底层能力,分值分布与核心逻辑清晰可见,所以这套试卷表面考知识,实则筛5种核心能力:

一、手熟不熟:
运算自动化,才是高分基础



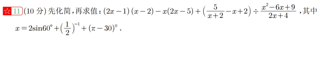
这一道题串联整式乘法、去括号、合并同类项、分式除法、因式分解、通分、代入求值七八个步骤,一步错则整题失分。
在我们的课堂上能明显看到差距:有的学生做题时频频停顿,纠结“下一步该怎么做”;有的学生书写不停,思路已提前预判后续条件。本质区别就在于:前者运算未实现自动化,后者已将计算练成本能。
⚠️
这道题筛掉的,正是初一有理数、整式、分式运算基础不扎实的学生——看似每步都会,却步步需要思考,多步叠加后脑力透支,失误频发。只有运算不用动脑,大脑才能腾出空间思考高阶解题思路。
二、眼毒不毒:
几何解题,认模型比记定理更重要
第4题正方形含45°角求线段长,是典型的几何能力考题。


解题关键是连接AC,利用同线段对应45°角判定四点共圆,再结合手拉手全等快速得解。
不少学生考完反馈:盯着图形五分钟,始终想不到画辅助圆。根源在于记模型的方式错了:只死记“四点共圆判定定理”,却没掌握触发条件。
记几何模型就像认人,光记五官特征没用,要记辨识度极高的特点。
看到“定角对定边”就想到四点共圆,看到“等腰共顶点”就联动手拉手模型,建立“条件→模型”的条件反射,才能一眼破题。
⚠️这道题筛掉的,是刷题无数却从不总结模型触发规律的学生。
三、脑子活不活:
数学核心,是化未知为已知


这就是数学最核心的能力:化归思想——把没见过的题型,变成学过的原型。平时训练上老师们会刻意引导学生对比:“这道题和上周的题型本质是一样的吗?”慢慢培养主动识别变式的思维。
⚠️
所以这道题筛掉的,是只盯答案、不究本质,只会做原题、不会解变式的学生。
四、想得全不全:
严谨性,比聪明更重要



很多学生不是不懂分类讨论,而是思维习惯太差:看到一种情况就急于计算,算完便草草结束,从未主动反思“是否还有其他可能”。
考场好习惯只有一个:动笔前反复问自己“还有没有别的可能?”,先罗列所有情况再逐一求解。
⚠️
这道题筛掉的,是思维跳跃、想到哪做到哪,聪明却不够严谨的学生。
五、心态稳不稳:
考场取舍,决定最终分数

⚠️这部分筛掉的,是未经历限时模考、不懂取舍,一道题卡住就心态崩盘的学生。
❤️核心总结❤️
▶️运算能力需在初一实现自动化,为高阶思维释放空间;
▶️几何直观依赖小学操作积累与初中模型归纳,不可断层;
▶️模型识别要建“条件→模型”索引,而非死记结论;
▶️函数思维、化归意识需从小学阶段逐步渗透;
▶️所有失分,本质都是年级能力链条出现断层。
保送考试选拔的,从来不是初三一年最努力的学生,而是小学至初中能力链条构建最完整的学生。数学早培的意义,便是在合适的阶段筑牢每一环能力;每一道错题,都是一次精准的断层定位,溯源修补,才是最高效的备考方式。
如果有家长有小奥、早培资讯的欢迎后台留言!