
1️⃣ 基本公式及注意事项 速度公式
注意事项:
①速度单位是组合单位,它是由路程和时间单位组合而成.
②速度一定时,路程与时间成正比.
③计算平均速度时应包括中途停止运动的时间.
密度公式
注意事项:
①密度单位是组合单位,它是由质量单位和体积单位组合而成.
②物体的密度与物体的质量和体积无关,与物质的种类、状态、温度有关.
重力公式
注意事项:
①g=9.8N/kg,粗略计算时g可取10N/kg.
②m的单位必须为kg.
压强公式
注意事项:
①F为物体对另一物体的压力,不是重力.
②若压力在数值上等于物体所受重力时,应先注明F=G.
③S为受力面积,是指物体间相互接触并相互挤压部分的面积,单位必须为m2.
液体压强公式
注意事项:
①ρ为液体的密度,单位必须为kg/m3.
②h为液面到该点竖直方向的距离,单位必须为m.
③粗细、密度均匀的实心圆柱体、长方体等规则物体也适用此公式.
浮力公式
注意事项:
①G排为排开液体的重力.
②ρ液为液体的密度,单位必须为kg/m3.
③V排为物体排开液体的体积,等效成浸在液体中的物体的体积,单位必须为m3.
④物体浸没在液体中时
V排=V物.
漂浮(悬浮)时
F浮=G物=m物g.
做功公式
注意事项:
①s是沿力F的方向移动的距离,单位必须为m.
②物体在水平方向做匀速直线运动时,受力平衡,F=f.
③竖直方向重力做的功W=Gh=mgh.
功率公式
注意事项:
①W为时间t内做的功,t单位必须为s.
②根据W=Fs,s=vt知P=Fv。v为沿力的方向做匀速直线运动的速度或平均速度.
杠杆平衡条件
①也可表达为F1/F2=L2/L1。L1、L2的单位相同即可,不需进行单位换算.
②计算最小动力时,应使动力臂最大.
热量公式
注意事项:
①升高到t℃是指末温为t℃.
②升高了t℃是指温度的变化量△t=t℃.
热值公式
注意事项:
热值是物质的一种特性,不随热量和质量改变.
欧姆定律
注意事项:
①导体的电阻与导体两端的电压和通过导体的电流无关.
②仅适用于纯电阻电路(没有电动机的电路).
电功公式
注意事项:
U单位为V,I单位为A,t单位为s。
电功率公式
注意事项:
①根据W=UIt知P=UI.
②根据P=UI、I=U/R知P=U2/R(适用于纯电阻电路).
③根据P=UI、U=IR知P=I2R(适用于纯电阻电路).
焦耳定律
注意事项:
①Q为时间t内电流产生的热量,t单位必须为s.
②适用于所有电路,一般应用于串联电路中.
③根据I=U/R知Q=U2t/R
(适用于纯电阻电路,一般应用于并联电路中).
④若电能全部转化为内能,则Q=W=Pt.
串联分压
注意事项:
串联电流相等,其他物理量与R成正比,即:
R1/R2=P1/P2
=W1/W2=Q1/Q2
(适用于纯电阻电路)
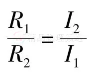
并联分流
注意事项:
并联电压相等,其他物理量与R成反比,即:
R1/R2=P2/P1
=W2/W1=Q2/Q1
(适用于纯电阻电路)
2️⃣效率公式
免责声明 1.本公众号部分转载的文章、图文、视频来自网络,其版权和文责属原作者所有,若来源标注错误或侵犯到您的权益,烦请告知,我们将立即删除。 2.本公众号编辑部工作人员的原创文章,其版权属于我们微信公众号所属主体。 3.本公众号特约稿原创文章,其版权和文责属作者所有。 4.若要转载原创文章用于商业用途,请联系我们,未经同意不得转载。任何转载请注明文章来源。如有问题,请联系我们,谢谢! | 标签:中考物理 初中物理
| 来源:网络
| 商务合作微信:JJYYshangwu
| 更多内容请关注微信公众号平台:中考物理 ID:zkwl100


















