
第四章金融市场
考点一金融市场概述
4.“客制化”是指银行针对特定的投资者的市场预期而设计结构化产品,投资者投资该产品并承担该产品蕴含的特定风险而获得一定的风险收益。在市场均衡的情况下,“客制化”预期收益较高的金融资产,风险通常也比较高。下列对“客制化”预期收益与风险之间的关系描述正确的是( )。(2018建设银行)
点击下方空白处可获取答案 ▼
【答案】D
【解析】金融工具的风险和收益是对等的,收益越大风险越大。以上五种金融工具中,国债风险最小,金融衍生工具风险最大。风险性由大到小排序为:衍生工具、股票、保险基金、公司债、国债。故选D项。
5.通过金融资产的收益率计算和价格分析,以下关于金融资产的价格与利率方面的表述,不正确的是( )。(2018广发银行)
A.金融资产的价格与到期收益率负向相关,即到期收益率上升,则金融资产的价格下降
B.对资金需求的增加,将引起金融资产供给的增加,造成利率上升
C.金融资产的价格与金融资产的供给成反比例关系
D.金融资产的价格与利率成正比例关系
点击下方空白处可获取答案 ▼
【答案】D
【解析】A项,金融资产的价格与到期收益率负向相关,即到期收益率上升,金融资产的价格下降,排除;B项,对资金需求的增加,将引起金融资产供给的增加,造成利率上升,排除:C项,金融资产的价格与金融资产的需求成正比关系,与金融资产的供给成反比的关系,排除:D项,金融资产的价格与利率成反比的关系,当选。故选D项。
6.下列选项中,( )是金融市场最主要、最基本的功能。(2018农业银行)
A.优化资源配置功能
B.交易及定价功能
C.货币资金融通功能
D.经济调节功能
点击下方空白处可获取答案 ▼
【答案】C
【解析】A项,优化资源配置功能是指金融市场通过定价机制自动引导资金的合理配置,引导资源从低效益部门向高效益部门流动,排除。B项,交易及定价功能是指金融市场具有
决定和发现利率、汇率、证券价格等金融资产价格的功能,为金融资产交易提供价格依据,并通过调节价格引导资源配置,排除。C项,货币资金融通功能是指金融市场媒介资金的需求方和供给方,使社会资金实现在盈余部门和短缺部门的融通和调剂。其中,货币资金融通功能是金融市场最基本、最主要的功能,当选。D项,经济调节功能是指金融市场通过其特有的资本聚集功能和引导资本合理配置的机制,对微观经济部门产生影响,进而影响宏观经济运行,排除。故选C项。
二、多选题
金融工具,是在金融市场发挥交易作用的金融资产、金融产品、有价证券等。在金融工具的四个性质中,存在正相关关系的是( )。(2017建设银行)
A.收益性与风险性
B.流动性与收益性
C.期限性与流动性
D.期限性与收益性
点击下方空白处可获取答案 ▼
【答案】AD
【解析】金融工具的收益性与风险性、期限性成正相关;流动性与风险性、期限性成负相关,期限性与流动性成负相关。简言之,流动性与其他三种性质成负相关,其他三种性质两两之间成正相关。故选AD项。
考点二货币市场
单选题
1.下列哪一项是美国流动性和安全性最好的货币市场工具?( )(2020交通银行)
A.回购协议
B.联邦基金
C.国库券
D.商业票据
点击下方空白处可获取答案 ▼
【答案】C
【解析】B项,货币市场工具是偿还期限在一年以内的金融工具,基金属于资本市场工具,排除;ACD项,流动性和安全性最好的应该为国库券,其是由国家财政当局为弥补国库收支不平衡而发行的一种政府债券,C项当选,AD项排除。故选C项。
2.商业银行间,纯粹以信用为基础,没有任何担保的借款业务是( )。(2019中国银行)
A.同业拆借
B.债券回购
C.中央银行借款
D.金融债券
点击下方空白处可获取答案 ▼
【答案】A
【解析】A项,同业拆借基本上是信用拆借,拆借活动在金融机构之间进行,市场准入条件较严格,金融机构主要以其信誉参与拆借活动,当选。B项,债券回购是有质押品的借贷,排除。故选A项。
3.某商业银行通过同业拆借获得一笔资金。关于该拆入资金的用途,下列哪一选项是违法的?( )(2019民生银行)
A.弥补票据结算的不足
B.弥补联行汇差头寸的不足
C.发放有担保的短期固定资产贷款
D.解决临时性周转资金的需要
点击下方空白处可获取答案 ▼
【答案】C
【解析】同业拆借是金融机构之间进行短期、临时性头寸调剂的行为,拆入资金主要是解决临时性储备不足的资金需要,如因清算联行汇差而出现的临时性头寸不足和头寸调度方面的突发性资金需求等。拆借的目的在于调剂头寸和临时性资金余缺,不可用于固定资产贷款、投资和弥补资本金。故选C项。
4.回购协议是指以有价证券作抵押的有效的短期资金通融,在形式上表现为附有条件的证券买卖,以下对于回购协议方式的表述,错误的是( )。(2018广发银行)
A.商业银行的债券回购业务,一般通过全国统一同业拆借市场进行,特殊情况可场外交易
B.具有较强的安全性,回购协议一般期限较短,可以及时抽回资金,避免长期投资的风险
C.增强了长期债券的变现性,避免了证券持有者因出售长期资产以变现而可能带来的损失
D.商业银行以较低的利率用回购协议的方式取得资金,再以较高利率贷出,可以获得利差
点击下方空白处可获取答案 ▼
【答案】A【解析】中国人民银行关于《银行间债券回购业务有关问题的通知》中明确规定:商业银行的债券回购业务必须通过全国统一同业拆借市场进行,不得在场外交易。故选A项。
考点三资本市场
一、单选题
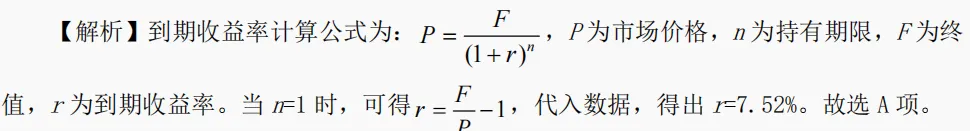
1.面值为1000美元的贴现发行债券,1年后到期,售价为930美元,它的到期收益率为( )。(2020邮政储蓄)
A.7.52%
B.7.14%
C.6.83%
D.6.83%
点击下方空白处可获取答案 ▼
【答案】A
【解析】

2.中国债券市场的主体是( )。(2019中国银行)
A.机构投资者
B.商业银行柜台
C.交易所市场
D.银行间市场
点击下方空白处可获取答案 ▼
【答案】D【解析】我国的债券市场由银行间债券市场、交易所债券市场和银行柜台债券市场三个部分组成,其中银行间债券市场是主体,市场参与者是各类机构投资者,债券托管量和交易量占市场的90%左右。故选D项。

闫序银行
言松教育旗舰店
购买咨询课程请移步淘宝