河北省保定市2026届高三第一次模拟考试数学试卷及答案

四季读书网 9 0
河北省保定市2026届高三第一次模拟考试数学试卷及答案
河北省保定市2026届高三第一次模拟考试数学试卷及答案 第1张
河北省保定市2026届高三第一次模拟考试数学试卷及答案 第2张
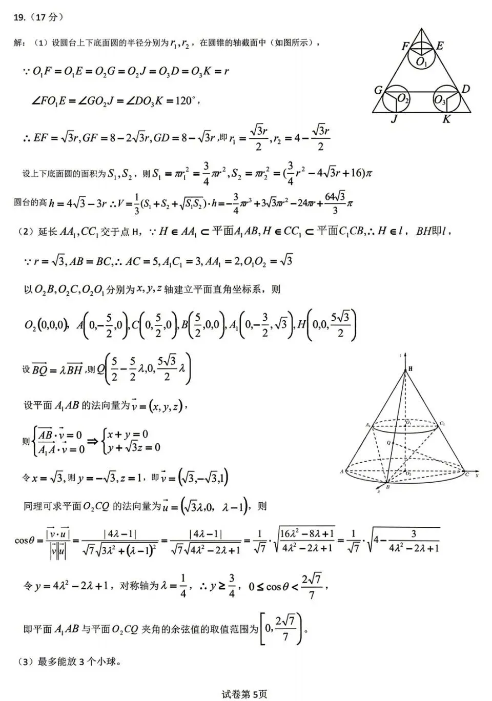
河北省保定市2026届高三第一次模拟考试数学试卷及答案 第3张
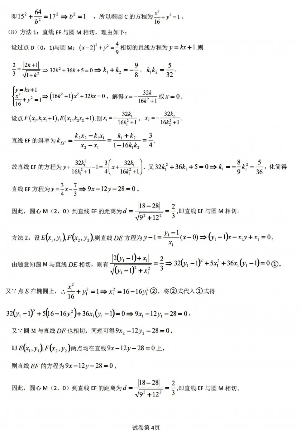
河北省保定市2026届高三第一次模拟考试数学试卷及答案 第4张
河北省保定市2026届高三第一次模拟考试数学试卷及答案 第5张
河北省保定市2026届高三第一次模拟考试数学试卷及答案 第6张
河北省保定市2026届高三第一次模拟考试数学试卷及答案 第7张
河北省保定市2026届高三第一次模拟考试数学试卷及答案 第8张
河北省保定市2026届高三第一次模拟考试数学试卷及答案 第9张
河北省保定市2026届高三第一次模拟考试数学试卷及答案 第10张

抱歉,评论功能暂时关闭!