2026安庆市中考数学一模第23题是一道代数压轴题,现对此题做一些分析.
一、原题
已知抛物线y=ax2+2ax-8a (a≠0).
1.求该抛物线的对称轴;
2.若抛物线经过两个不同点P(x1,y1)、Q(x2,y2)
(1)当y1=y2≠0时,若
,求a的值;
(2)当1<x1<2,x2=m时,总有y1>y2,求满足条件的m的取值范围.
二、解析
1.第1小问解析
根据二次函数y=ax2+bx+c的对称轴公式x=-b/2a,得
y=ax2+2ax-8a 的对称轴为
x=-2a/2a,
即x=-1.
此第1小问,遵循常规压轴题的例规,比较容易,属于给分题,学生只要能记住对称轴公式,或者,即使记不住,也可以用配方法来推导出来.
2.第2(1)问解析
这个2(1)问,一看就头疼,有等号“=”有不等号“≠”,有方程有分式,清一色的字母.
我们慢慢来看.
先从y1=y2≠0开始.依题意,
y1=ax12+2ax1-8a
y2=ax22+2ax2-8a
由y1=y2得,
ax12+2ax1-8a=ax22+2ax2-8a
把等号右边移到左边,并因式分解,得到
(x1-x2)(x1+x2+2)=0
由此得,x1-x2=0或x1+x2+2=0,
因为P、Q是两个不同点,所以,排除x1-x2=0,取
x1+x2+2=0①
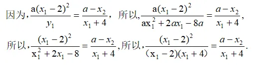
再从后面的等式化解.

所以,通过约分,得到
x1-2=a-x2
即a=x1+x2-2②
把①代入②得
a=-2-2=-4.
这个小问,经历了代数推理的过程,看似复杂、心烦,但只要从两个条件出发,利用因式分解、约分等知识,就能巧妙化解.
2.第2(2)问解析
这个问题,需要画图来理解,也就是需要数形结合的思想来进行推理.
由第1问知,对称轴为x=-1,说明对称轴在y轴左侧.
还可以利用公式,算出它的顶点坐标为(-1,-9a),说明顶点在二或三象限.
还可以求出这个二次函数与x轴的两个交点坐标为(2,0)和(-4,0).
根据a的取值,来画出二次函数的草图,根据图象来求m 的取值范围.
分两种情况.
第一种情况,当a>0时,其情况如下左图.因为1<x1<2,所以点P(x1,y1)在图上点A和点B之间,根据y1>y2,说明点Q(x2,y2)的水平位置比点A要低,点A与点C是对称的,水平位置一样.故点Q应该在点C和点A之间的图象上,那么应该有-3≤m≤1.

第二种情况,当a<0时,其情况如右上图,点P(x1,y1)在图上点E和点F之间,根据y1>y2,说明点Q(x2,y2)的水平位置比点F要低,点F与点H是对称的,水平位置一样.故点Q应该在点F或点H的下方的图象上,那么应该有m≥2或m≤-4.
三、思考
1.遵循常规
此题是模拟试卷的最后一题,是一道代数压轴题,遵循了考试常规,即第1问比较简单,后两问有一定的难度.而且,第1问的结果,对后面有一定的参考作用.
2.代数推理
这道题充分考查了代数推理,代数推理也是新课标所强调的内容,这就要求学生在答题的时候,思路清晰,充分利用已知条件,运用等式的性质,进行变形、代换等.
3.数形结合
最后一问,充分运用了数形结合的思想,从图形中寻找问题的答案.也展示了几何直观.
(2026.4.11图形问题14)