2026届高三4月浙江温州二模数学试卷及答案

四季读书网 10 0
2026届高三4月浙江温州二模数学试卷及答案
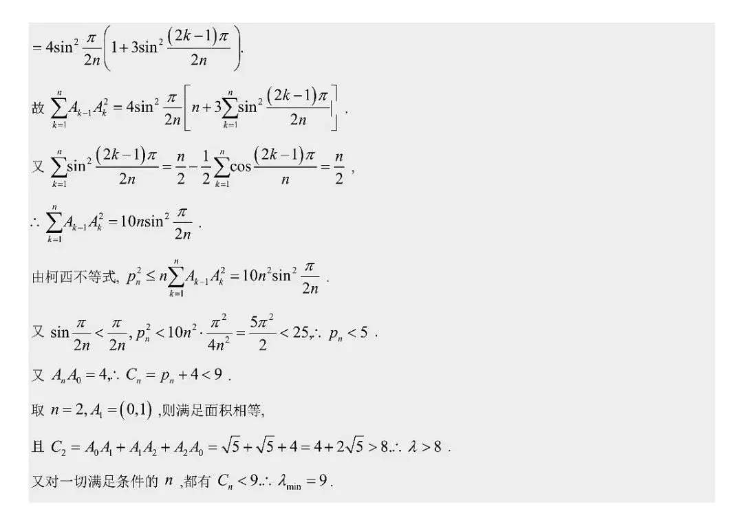
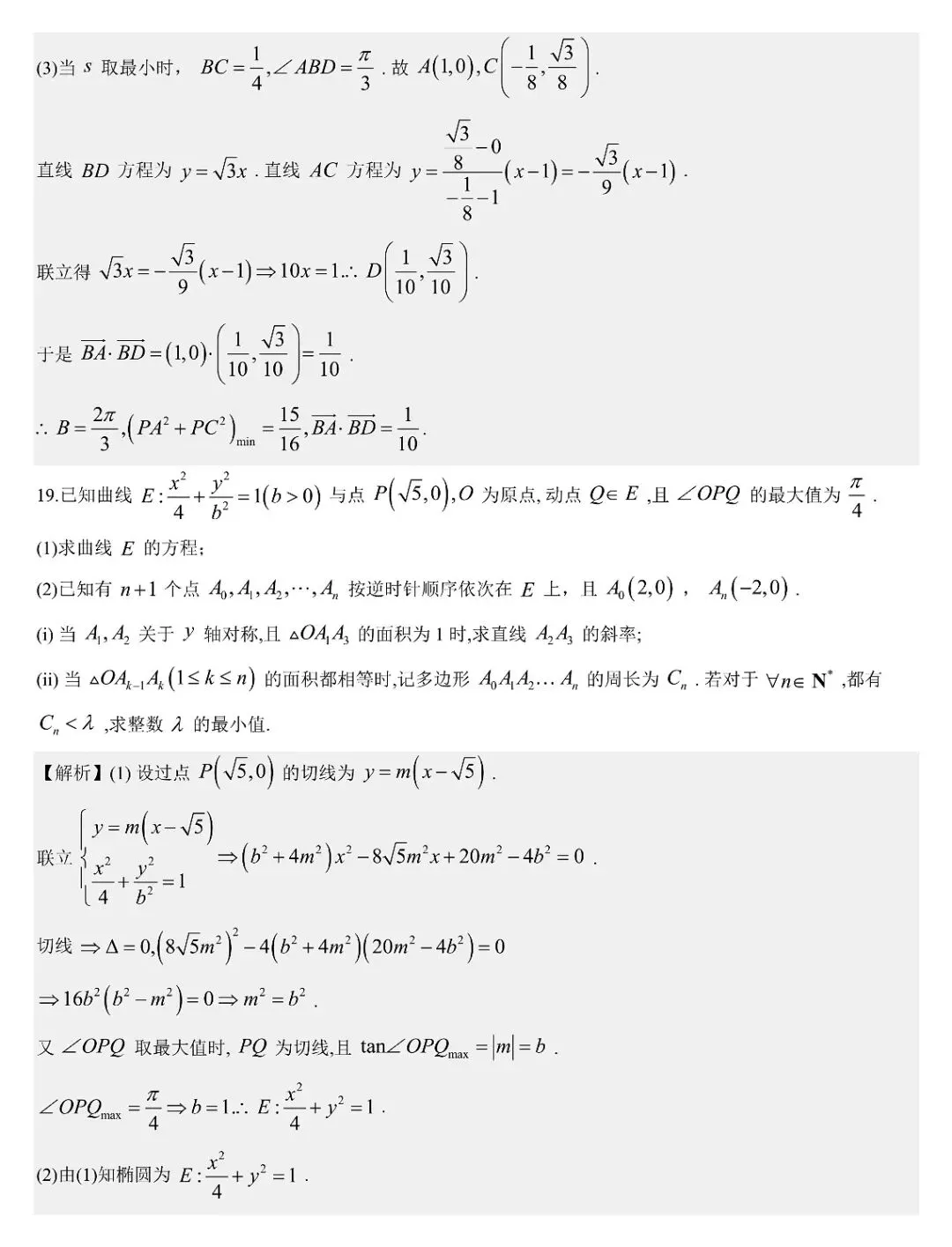
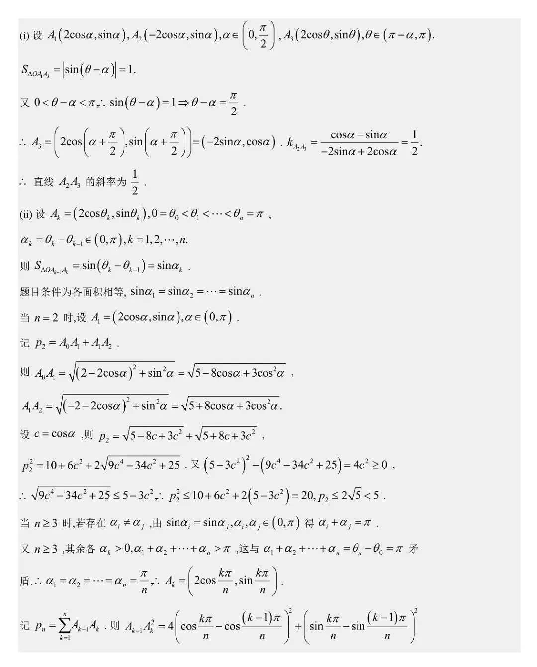
2026届高三4月浙江温州二模数学试卷及答案 第1张
2026届高三4月浙江温州二模数学试卷及答案 第2张
2026届高三4月浙江温州二模数学试卷及答案 第3张
2026届高三4月浙江温州二模数学试卷及答案 第4张
2026届高三4月浙江温州二模数学试卷及答案 第5张
2026届高三4月浙江温州二模数学试卷及答案 第6张
2026届高三4月浙江温州二模数学试卷及答案 第7张
2026届高三4月浙江温州二模数学试卷及答案 第8张
2026届高三4月浙江温州二模数学试卷及答案 第9张
2026届高三4月浙江温州二模数学试卷及答案 第10张
2026届高三4月浙江温州二模数学试卷及答案 第11张
2026届高三4月浙江温州二模数学试卷及答案 第12张
2026届高三4月浙江温州二模数学试卷及答案 第13张
2026届高三4月浙江温州二模数学试卷及答案 第14张
2026届高三4月浙江温州二模数学试卷及答案 第15张
2026届高三4月浙江温州二模数学试卷及答案 第16张
2026届高三4月浙江温州二模数学试卷及答案 第17张
2026届高三4月浙江温州二模数学试卷及答案 第18张

抱歉,评论功能暂时关闭!