
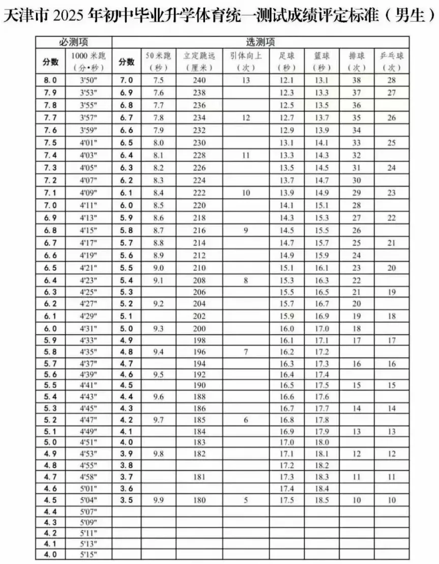
根据天津中考体育政策,转学对体育平时成绩的影响如下:
七年级前学籍转入就读天津:
总分 40 分,平时成绩 18 分,考场体测成绩22 分(必测项目 8 分,选测 项目7+7 分),18分直接获得,另外22分需要通过考试获得。

八年级或九年级转学天津:
如果学籍转入天津市就读八或九年级,或仅就读九年级并参加中考,体育平时成绩记为0分,体育总分40分全部通过统一测试获得。
统一测试项目及分值调整为:必测项目14分,选测项目每项13分。
(14+13+13)=40分

异地回户籍地升学:
如果持有天津户口但学籍未转入天津,直接回津参加中考,体育平时成绩为0分,体育总分22分,统一测试必测项目8分,选测项目每项7分。(8+7+7)=22分



文章来源:
四季读书网
版权声明:本文内容由互联网用户自发贡献,该文观点仅代表作者本人。本站仅提供信息存储空间服务,不拥有所有权,不承担相关法律责任。如发现本站有涉嫌抄袭侵权/违法违规的内容, 请发送邮件至23467321@qq.com举报,一经查实,本站将立刻删除;如已特别标注为本站原创文章的,转载时请以链接形式注明文章出处,谢谢!