备战2026年中考英语语法满分强化训练(附解析)

四季读书网 6 0
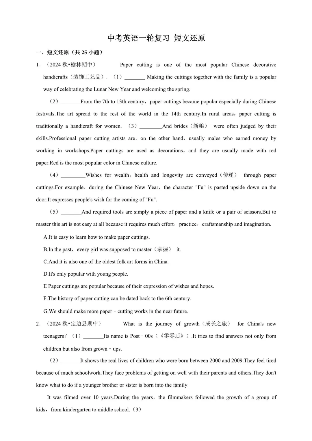
备战2026年中考英语语法满分强化训练(附解析)
今天小编分享的是:备战2026年中考英语语法满分强化训练,全部有解析,可下载打印!
电子打印版可以直接下载,请拉到文末查看。
备战2026年中考英语语法满分强化训练(附解析) 第1张
备战2026年中考英语语法满分强化训练(附解析) 第2张
备战2026年中考英语语法满分强化训练(附解析) 第3张
备战2026年中考英语语法满分强化训练(附解析) 第4张
备战2026年中考英语语法满分强化训练(附解析) 第5张
备战2026年中考英语语法满分强化训练(附解析) 第6张
备战2026年中考英语语法满分强化训练(附解析) 第7张
备战2026年中考英语语法满分强化训练(附解析) 第8张
备战2026年中考英语语法满分强化训练(附解析) 第9张
备战2026年中考英语语法满分强化训练(附解析) 第10张
备战2026年中考英语语法满分强化训练(附解析) 第11张
备战2026年中考英语语法满分强化训练(附解析) 第12张
备战2026年中考英语语法满分强化训练(附解析) 第13张
备战2026年中考英语语法满分强化训练(附解析) 第14张
备战2026年中考英语语法满分强化训练(附解析) 第15张
备战2026年中考英语语法满分强化训练(附解析) 第16张
备战2026年中考英语语法满分强化训练(附解析) 第17张
备战2026年中考英语语法满分强化训练(附解析) 第18张
备战2026年中考英语语法满分强化训练(附解析) 第19张

完整版资料领取方式   

第1步 文末右下角点一下“❤️
第2步 关注下方公众号,发消息
0409

抱歉,评论功能暂时关闭!