期中试题
2026年郑州中考数学模拟卷



(1)任务1:图①中a的值为,若A,B,C,D,E五组数据的平均数分别取为4、5、6、7、8,计算乙园样本数据的平均数:
(2)任务2:下列结论一定正确的是(填正确结论的序号)
①两园样本数据的中位数均在C组;
②两园样本数据的众数均在C组;
③两园样本数据的最大数与最小数的差相等.
(3)任务3:结合市场情况,将C、D两组的柑橘认定为一级,B组的柑橘认定为二级,其它组的柑橘认定为三级,其中一级柑橘的品质最优,二级次之,三级最次。试估计哪个园的柑橘品质更优,并说明理由.


21.为了缓解大气污染,某市公交公司决定将某一条线路上的柴油公交车替换为新能源公交车,计划购买A型和B型两种新能源公交车共10辆,若购买A型公交车3辆,B型公交车2辆,共需180万元;若购买A型公交车2辆,B型公交车3辆,共需195万元。
(1)求购买A型和B型公交车每辆各需多少万元;
(2)预计在该线路上A型和B型公交车每辆年均载客量分别为60万人次和100万人次,若该公司购买A型和B型公交车的总费用不超过360万元,且确保这10辆公交车在该线路的年均载客总和不少于680万人次,则该公司有哪几种购车方案,哪种购车方案总费用最少?最少总费用是多少?

答案解析
难题解析



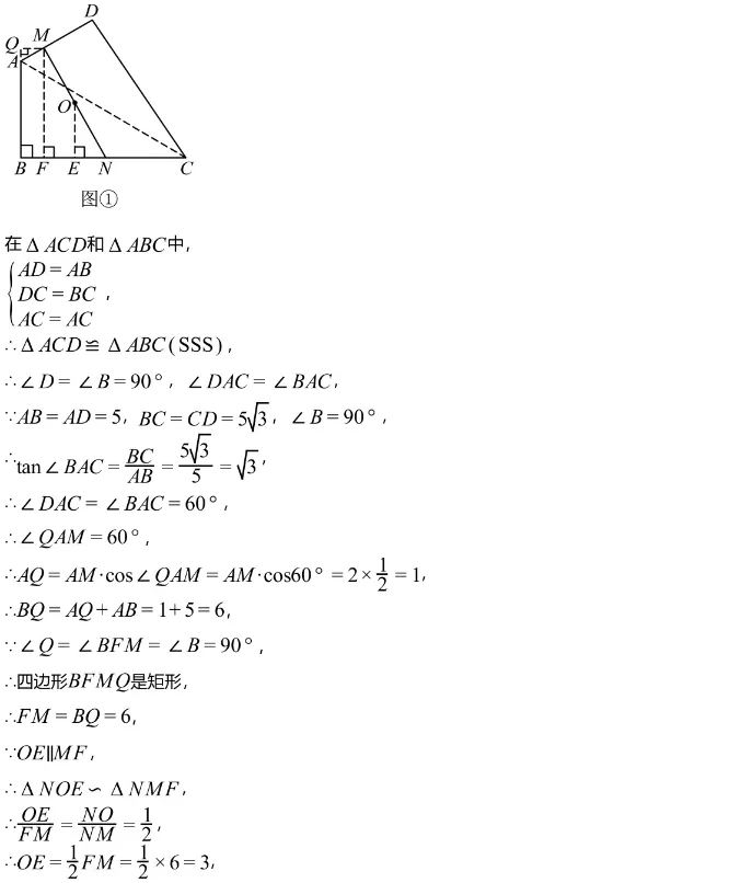
(1)解:如图①,过点M作MO⊥AB交BA的延长线于点O,过点O作OE⊥BC,垂足为E,过点M作MF⊥BC,垂足为F,则∠Q=∠BFM =90º , OE∥MF,




初中数学精品资料
七年级数学资料
八年级数学资料
九年级数学资料
2026中考模拟
2025中考数学压轴题解析
更新中.........
2025中考真题
更新中.........
中考数学最值微课
更新中.........
中考数学知识拓展
更新中.......