在中考物理中,压强与浮力一直是重点和难点,尤其是“变化量”相关的问题,常常让同学们感到头疼。今天,我们就结合常见模型和典型例题,系统梳理液体对容器底、容器对桌面的压力/压强变化量,以及浮力测密度、剪绳模型等高频考点,帮助大家理清思路,轻松应对考试!
一、液体对容器底的压强/压力变化量
解题思路:先P后F 或 先F后P?
思路1:先求压强变化量,再求压力变化量
液体对容器底的压强变化量:

思路2:柱形容器,先求压力变化量
对于柱形容器,液体对容器底的压力变化量等于浮力的变化量:

然后压强变化量:

核心口诀:
浮力变多少,液体压力就变多少!
液面高度变化量:



二、容器对桌面的压强/压力变化量
解题思路:先F后P
容器对桌面的压力变化量:

常见情况:

压强变化量:

三、剪绳模型
剪绳前:

剪绳后:

液面变化:

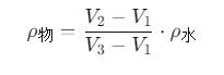
四、浮力测密度方法总结
1. 测力计测固体密度(三提法)

2. 测力计测液体密度(三提法)

3. 台秤(天平)测固体密度

4. 量筒测固体密度(漂浮法)


5. 船球模型
投球入水

挂球入水:

五、液体压强基础回顾
液体压强特点:
液体内部各个方向均有压强
同一深度,向各个方向压强相等
深度越大,压强越大
密度越大,压强越大
公式:

连通器原理:
同种液体静止时,各容器液面相平。
常见应用:茶壶、水位计、下水道弯管等。
六、放入物体后的压力压强变化(完整版)
液体未溢出:

液体溢出:

总结
液体对容器底的压力变化量 = 浮力的变化量(柱形容器)
容器对桌面的压力变化量 = 放入物体的重力(未溢出)或 物体重力 - 溢出液体重力(溢出)
浮力变化引起液面变化,进而影响压强
剪绳模型中,容器对桌面压力不变
浮力测密度核心:漂浮测质量,浸没测体积
掌握这些变化量的关系,结合具体模型和公式,压强浮力的难题就能迎刃而解!希望这篇文章能帮助大家在复习中更有条理,中考物理轻松拿高分!
📌 收藏本文,考前再看一遍,提分更有效!
文章来源:
四季读书网
版权声明:本文内容由互联网用户自发贡献,该文观点仅代表作者本人。本站仅提供信息存储空间服务,不拥有所有权,不承担相关法律责任。如发现本站有涉嫌抄袭侵权/违法违规的内容, 请发送邮件至23467321@qq.com举报,一经查实,本站将立刻删除;如已特别标注为本站原创文章的,转载时请以链接形式注明文章出处,谢谢!