
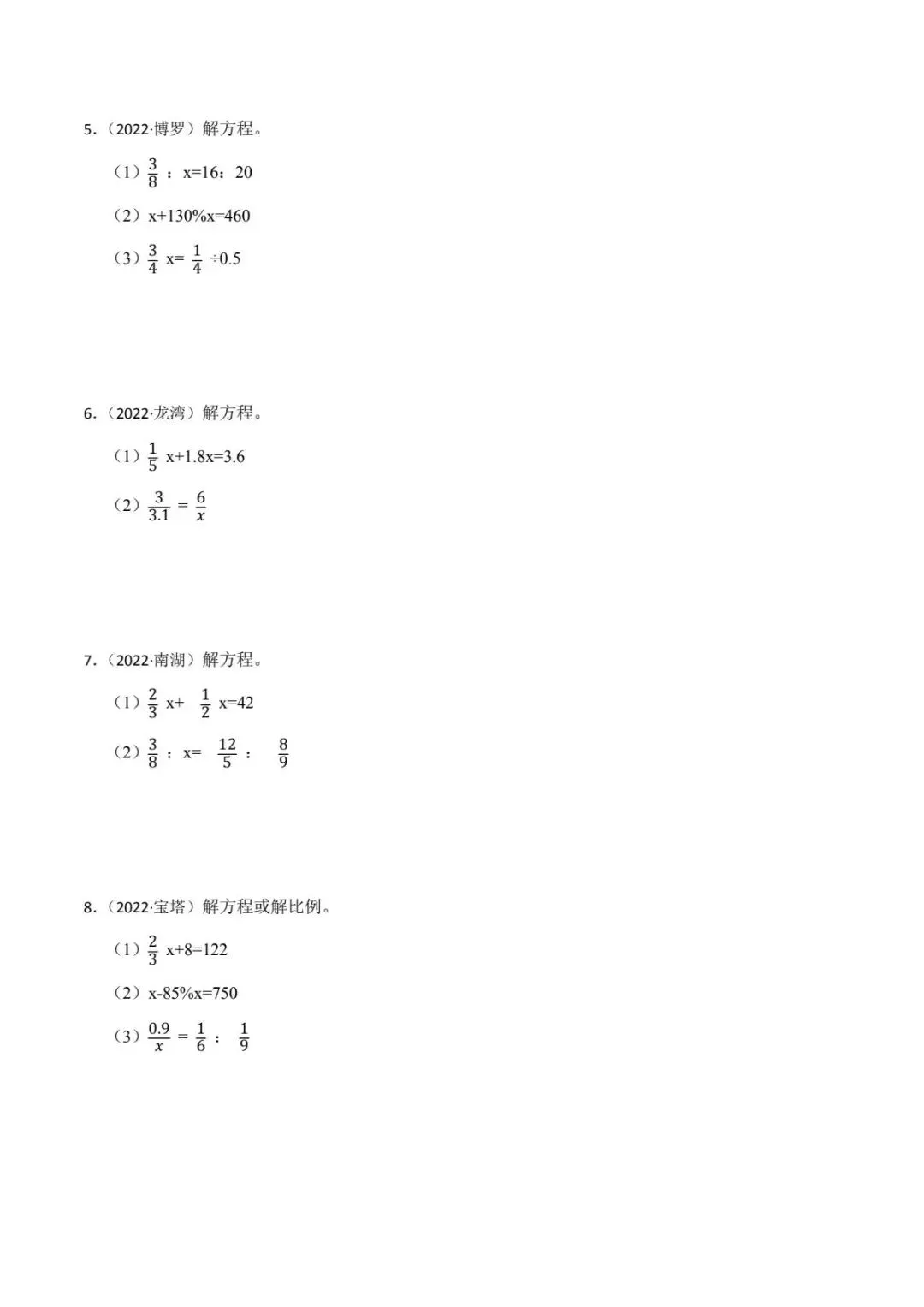
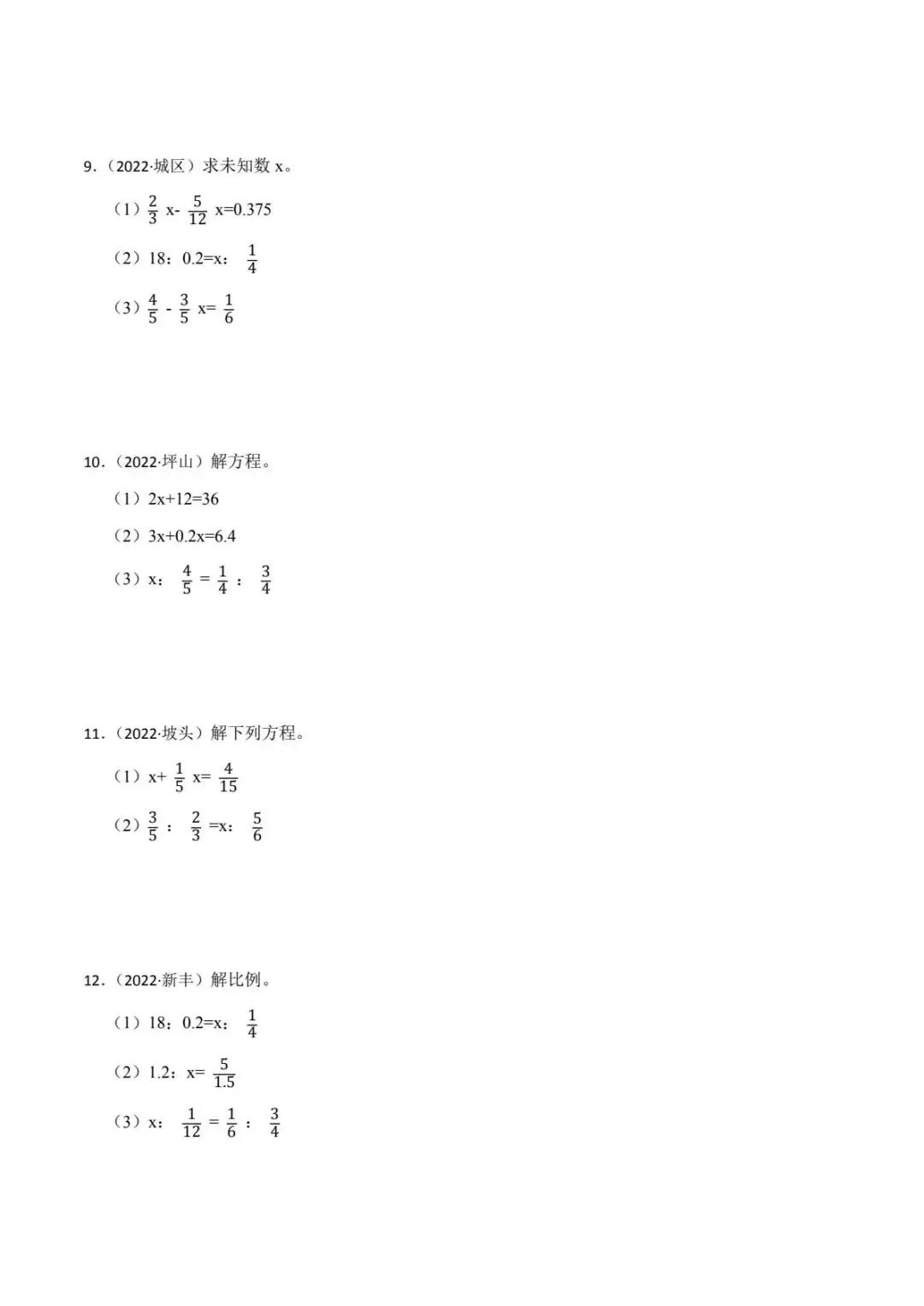
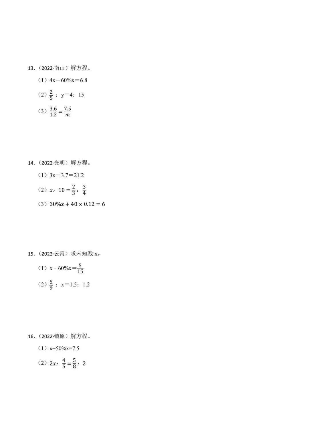
小升初数学提分必备!青岛版真题解方程专项训练
小升初的同学们看过来!解方程或比例可是小升初数学的高频考点,也是拉开分数差距的关键题型。
我们精心汇编了青岛版真题,专注于解方程或比例专项训练。这些真题涵盖各类题型,精准针对小升初考试要求,让你熟悉考试难度和命题规律。
电子版资料可随时打印,方便你随时随地练习。每道题都附有详细答案和解题步骤,让你不仅知其然,更知其所以然。
别再为解方程发愁,赶紧领取这份专项训练,为小升初数学考试做好充分准备!
(温馨提示:文末有完整电子版及答案领取方式)





领取完整清晰电子版步骤:
①:顺手点一点右下角的“赞”和“在看”,感谢
!②:进入公众号主页在对话框中回复:6019
点击下方名片可快速进主页

获取更多资料请添加微信:


本微信公众账号分享的资源均通过网络等公共合法渠道获得,仅供试用!版权属于原出版机构或影像公司,本资源为电子载体,传播分享仅限于家庭使用与交流心得、参考和辅助购买决策,不得以任何理由在商业行为中使用,版权归原作者或原出版社所有。如有侵权,请及时联系删除。
文章来源:
四季读书网
版权声明:本文内容由互联网用户自发贡献,该文观点仅代表作者本人。本站仅提供信息存储空间服务,不拥有所有权,不承担相关法律责任。如发现本站有涉嫌抄袭侵权/违法违规的内容, 请发送邮件至23467321@qq.com举报,一经查实,本站将立刻删除;如已特别标注为本站原创文章的,转载时请以链接形式注明文章出处,谢谢!