

2025广东中考压轴题:
当“黄金分割”遇上反比例函数,这道题的逻辑美感绝了!
一道中考题,竟把数学史上最优雅的比例,搬进了考场。
2025年广东中考数学结束后,最后一道压轴题迅速在教师群、家长群中传播开来。有人感叹:“这题出得太漂亮了。”也有人焦虑:“孩子刷了那么多题,怎么还是不会?”
但当我们静下心拆开这道题,就会发现:它不是偏题、怪题,而是一道非常典型、非常“正宗”的中考压轴题。
它用一个优雅的概念——中外比(黄金分割)
串联起:
新定义理解 尺规作图 反比例函数 几何证明 数形结合
这不是技巧题,而是:
数学思维的一次集中展示。
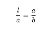
一、什么是“中外比”?它其实就是黄金分割
题目开头给出一个新定义:
整体线段 ÷ 大线段 = 大线段 ÷ 小线段
这就是经典的:
黄金分割
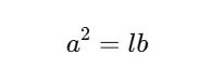
设:
整段为
则:

整理得到:

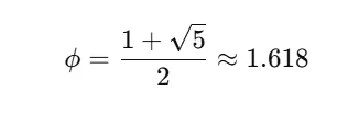
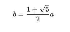
黄金比:

这个比例,曾出现在:
古希腊建筑 达·芬奇绘画 自然界植物结构 高考数学
而今天,它出现在:
广东中考数学压轴题。
这本身,就很有意思。
二、这道题设计得有多精妙?看三个层次就明白
很多老师研究完这道题后都会说一句:
“这题梯度设计得太漂亮了。”
因为它几乎是中考分层命题的教科书案例。
第一层:基础能力 —— 理解定义
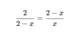
题目第一问:
已知:
MN = 2P 是中外比点
求:
PN 的长度
这一步的关键只有一个:
把文字翻译成数学式子。
设:
PN = x
则:
MP = 2 − x
根据定义:
整体 ÷ 大段 = 大段 ÷ 小段
列式:

解得:

不是考计算,而是考:
读懂定义的能力(语文的阅读理解)

第二层:几何能力 —— 尺规作图
第二问要求:
用无刻度直尺和圆规,把线段 AB 分成中外比
很多学生觉得:
作图题只是“画一画”。
其实不是。
这一步真正考的是:
几何构造能力
核心思想:
利用勾股定理构造:

这也是为什么很多学生会丢分:
不是不会画,而是:
没认真学过课本。
事实上,这个作图方法就来自教材里的:
阅读与思考:黄金分割数
这再次说明一个事实:
中考命题的唯一源头,是教材。
中考80%以上的题目,都能在教材中找到原型。
三、真正的难点在第三问:函数和几何开始“对话”
当题目进入第三问,很多学生会明显感觉:
难度突然上来了。
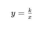
因为它引入了一个函数:


并给出一个关键条件:
△ODE 是等腰直角三角形
这时,题目不再是单纯的几何题,而变成:
函数 + 几何 + 比例 的综合问题。
关键突破:把几何变成代数
真正有效的方法只有一个:
设坐标
设:
A(a,0)C(0,b)B(a,b)
于是:
D(a, k/a)E(k/b, b)
接下来只要做一件事:
把“等腰直角”这句话,翻译成两个条件:
垂直 等长
就可以列出方程。
最终会得到一个非常漂亮的结果:

这意味着:
矩形的边长之间,恰好满足:
黄金分割比例。
于是,一个很优雅的结论自然出现:
D、E、F 三个点,全部成为中外比点。
四、这道题真正想考什么?
不是技巧
不是套路
而是三种核心能力:
第一:读懂定义
很多学生不是不会做题,而是:
没读懂题。
第二:会把几何转成代数
这就是:
数形结合
第三:会用通用方法
不是找技巧,而是:
坐标法
五、这道题给老师的四个重要提醒
作为一线老师,这道题其实给了我们很清晰的教学信号。
1)教材必须讲透
不仅是正文。
还包括:
阅读与思考 数学活动 拓展内容
这些地方,正在成为:
命题素材库。
2)新定义题型,一定要训练“翻译能力”
要让学生学会:
读定义拆关键词列关系
而不是:
死记方法。
3)综合题要教“通法”,不要教套路
真正稳定的方法是:
设坐标列方程解关系回归定义
4)压轴题一定要分层训练
很多学生看到压轴题就放弃,这是最大的误区。
事实上:
第一问 —— 基础分第二问 —— 中等分第三问 —— 选拔分
真正聪明的策略是:
先稳住前两问。
六、给家长的一句话建议
不要只问:
“孩子做了多少题?”
更重要的是问:
“孩子有没有真正理解?”
因为现在的中考,越来越明显地在考:
理解能力 建模能力 推理能力
而不是:
题量。



这道 2025 广东中考压轴题,其实给我们上了一堂很好的课:
数学,不是记住答案。数学,是理解关系。
当学生学会:
读懂定义建立模型推导结论
那一刻,数学就不再只是考试科目,而是一种:
思考世界的方式。


今日互动
各位老师、家长、学生:
您觉得这道题最难的地方在哪里?
是新定义?是作图?还是第三问的函数与几何结合?
欢迎在评论区留言,我们一起交流。


2025年广东省广州市天河区中考数学一模试卷
小升初,不只是一次考试,而是一次学习能力的分水岭——很多孩子不是输在智力,而是输在方法
初三化学一个知识点,关键时刻真的能救命
2025天河区中考数学一模试卷发布!这份试卷,正在悄悄拉开差距
2026广东中考数学:命题“潜规则”与学霸“屠龙刀”
《2026广东中考英语十大易错陷阱》——命题趋势拆解版(导师讲策略 × 军师教拆招)
2026广东中考英语大揭秘:命题人不说的“潜规则”,学霸都在偷偷这样备考!(建议收藏)
初中语文连90分都达不到?一线老师手把手教你提分,每一步都能直接照做
初中语文:为什么很多孩子上不了110分?
中考物理:不是难,是你没注意这10个坑
一道中考物理大题,把90%的孩子“坑”住了——横轴不从0开始,是很多初三学生的致命细节
中考化学总丢分?因为命题老师在用“高一知识”挖坑


