【第 1 题】(题型:选择题)
题目:CPU 在执行指令的过程中,会自动修改 (1) 的内容,以便使其保持的总是将要执行 的下一条指令的地址。
A . 指令寄存器 B. 程序计数器 C. 地址寄存器 D. 指令译码器
【答案】B
【解析】
本题考察 CPU 中各寄存器的功能:
【第 2 题】(题型:选择题)
题目:在微机系统中,BIOS (基本输入输出系统) 保存在 (2) 中。
A. 主板上的ROM B.CPU的寄存器 C. 主板上的RAM D. 虚拟存储器
【答案】A
【解析】
BIOS 是固化在计算机主板上的只读存储器(ROM)中的一组程序,其主要功能是为计算机提供最底层、最直接的硬件设置和控制。
【第 3 题】(题型:选择题)
题目:采用 n 位补码 (包含一个符号位) 表示数据, (3)。
A . 可以直接表示数值2ⁿ B. 可以直接表示数值-2ⁿ C. 可以直接表示数值 2ⁿ⁻¹ D. 可以直接表示数值-2ⁿ⁻¹
【答案】D
【解析】n 位补码的表示范围是:-2ⁿ⁻¹ ≤ x ≤ 2ⁿ⁻¹ - 1,其中最高位为符号位:
【第 4 题】(题型:选择题)
题目:某系统由下图所示的部件构成,每个部件的千小时可靠度都为 R, 该系统的千小时可靠 度为 (4) 。

A.3R/2+2R/3 B.R/3+R/2 C.(1-(1-R)³)(1-(1-R)²) D.(1-(1-R)³-(1-R)²
【答案】C
【解析】
从题目描述可知,系统结构为:3 个部件并联的子系统 + 2 个部件并联的子系统,两个子系统串联。
【第 5 题】(题型:选择题)
题目:以下关于采用一位奇校验方法的叙述中,正确的是 (5)。
A. 若所有奇数位出错,则可以检测出该错误但无法纠正错误
B. 若所有偶数位出错,则可以检测出该错误并加以纠正
C. 若有奇数个数据位出错,则可以检测出该错误但无法纠正错误
D. 若有偶数个数据位出错,则可以检测出该错误并加以纠正
【答案】C
【解析】
奇校验的核心规则是:在数据位后添加一位校验位,使得整个数据(数据位 + 校验位)中 1 的个数为奇数。
【第 6 题】(题型:选择题)
题目:下列关于流水线方式执行指令的叙述中,不正确的是 (6)
A. 流水线方式可提高单条指令的执行速度
B. 流水线方式下可同时执行多条指令
C. 流水线方式提高了各部件的利用率
D. 流水线方式提高了系统的吞吐率
【答案】A
【解析】
流水线技术是将指令的执行过程拆分为多个阶段(如取指、译码、执行、写回等),不同指令的不同阶段可以重叠执行:
【第 7 题】(题型:选择题)
题目:DES 是 (7) 算法。
A. 公开密钥加密 B. 共享密钥加密 C. 数字签名 D. 认 证
【答案】B
【解析】
DES(Data Encryption Standard)是一种经典的对称加密算法,对称加密算法也称为共享密钥加密算法,通信双方使用相同的密钥进行加密和解密。
【第 8 题】(题型:选择题)
题目:计算机病毒的特征不包括 (8)
A. 传染性 B. 触发性 C. 隐蔽性 D. 自毁性
【答案】D
【解析】
计算机病毒的主要特征包括:
【第 9-10 题】(题型:选择题)
题目:MD5 是 (9) 算法,对任意长度的输入计算得到的结果长度为 ( 1 0 ) 位。
(9) A. 路由选择 B. 摘 要 C. 共 享 密 钥 D. 公开密钥
(10) A.56 B.128 C.140 D.160
【答案】(9) B;(10) B
【解析】
MD5(Message-Digest Algorithm 5)是一种哈希摘要算法,用于生成数据的哈希值,验证数据的完整性。
【第 11 题】(题型:选择题)
题目:使用 Web 方式收发电子邮件时,以下描述错误的是 (11)
A. 无须设置简单邮件传输协议 B. 可以不设置账号密码登录
C. 邮件可以插入多个附件 D. 未发送邮件可以保存到草稿箱
【答案】B
【解析】
Web 方式收发邮件是通过浏览器访问邮件服务商的网页进行操作:
【第 12 题】(题型:选择题)
题目:有可能无限期拥有的知识产权是 (12) 。
A . 著作权 B. 专利权 C. 商标权 D. 集成电路布图设计权
【答案】C
【解析】
各知识产权的保护期限:
【第 13 题】(题型:选择题)
题目:(13) 是构成我国保护计算机软件著作权的两个基本法律文件。
A.《软件法》和《计算机软件保护条例》
B.《中华人民共和国著作权法》和《计算机软件保护条例》
C.《软件法》和《中华人民共和国著作权法》
D.《中华人民共和国版权法》和《计算机软件保护条例》
【答案】B
【解析】
我国没有专门的《软件法》或《版权法》,计算机软件属于著作权的保护范畴:
【第 14 题】(题型:选择题)
题目:某软件程序员接受一个公司 (软件著作权人) 委托开发完成一个软件,三个月后又接受 另一公司委托开发功能类似的软件,此程序员仅将受第一个公司委托开发的软件略作修改即 提交给第二家公司,此种行为 (14)
A. 属于开发者的特权 B. 属于正常使用著作权
C. 不构成侵权 D. 构成侵权
【答案】D
【解析】
根据《计算机软件保护条例》,接受他人委托开发的软件,其著作权的归属由委托人与受托人签订书面合同约定;无书面合同或者合同未作明确约定的,著作权由受托人享有。但无论著作权归属如何,程序员作为受托人,未经第一个公司(委托方或著作权人)许可,不得将委托开发的软件略作修改后提供给第三方。
该程序员的行为侵犯了第一个公司的软件著作权,属于侵权行为,选项 D 正确。
【第 15 题】(题型:选择题)
【答案】D
【解析】
结构化分析(SA)是面向数据流的需求分析方法,其输出包括:
【第 16 题】(题型:选择题)
题目:某航空公司拟开发一个机票预订系统,旅客预订机票时使用信用卡付款。付款通过信用 卡公司的信用卡管理系统提供的接口实现。若采用数据流图建立需求模型,则信用卡管理系 统 是 (16)
A . 外部实体 B. 加 工 C. 数据流 D. 数据存储
【答案】A
【解析】
在数据流图(DFD)中,各元素的定义:
【第 17-18 题】(题型:选择题)
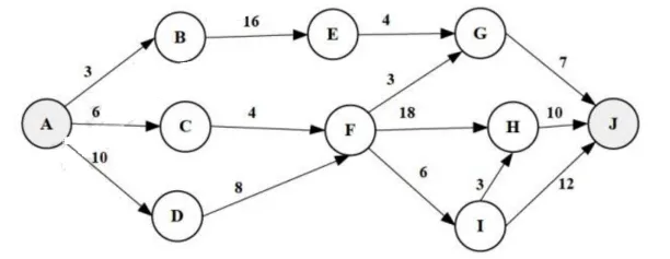
题目:某软件项目的活动图如下图所示,其中顶点表示项目里程碑,连接顶点的边表示包含的 活动,边上的数字表示活动的持续时间 (天), 则完成该项目的最少时间为_ (17) 天。 活 动 FG 的 松 弛 时 间 为 ( 1 8 ) 天 。

(17) A.20 B.37 C.38 D.46
(18) A.9 B.10 C.18 D.26
【答案】(17) D;(18) C
【解析】
本题考查软件项目管理的基础知识。
活动图是描述一个项目中各个工作任务相互依赖关系的一种模型,项目的很多重要
特性可以通过分析活动图得到,如估算项目完成时间,计算关键路径和关键活动等。
根据上图计算出关键路径为A-D-F-H-J,其长度为46。
活动 FG最早从第19天开始,最晚第37 天开始,因此其松弛时间为18天。或者计
算出活动 FG所在的最长路径的长度为28天,即路径 A-D-F-G-J,而根据前面计算关键
路径长度为46天,因此该活动的松弛时间为46-28=18天。
【第 19 题】(题型:选择题)
题目:以下叙述中, (19) 不是一个风险。
A. 由另一个小组开发的子系统可能推迟交付,导致系统不能按时交付客户
B. 客户不清楚想要开发什么样的软件,因此开发小组开发原型帮助其确定需求
C. 开发团队可能没有正确理解客户的需求
D. 开发团队核心成员可能在系统开发过程中离职
【答案】B
【解析】
风险是指可能发生的、会对项目产生负面影响的不确定事件。
【第 20 题】(题型:选择题)
题目:对布尔表达式进行短路求值是指:无须对表达式中所有操作数或运算符进行计算就可确 定表达式的值。对于表达式 "a or ((c<d) and b)", (20) 时可进行短路计算。
A.d 为 true B.a 为 true C.b 为 true D.c 为 true
【答案】B
【解析】
短路求值的规则:
【第 21 题】(题型:选择题)
题目:下面二叉树表示的简单算术表达式为 (21)

A.10*20+30-40 B.10*(20+30-40)
C.10*(20+30)-40 D.10*20+(30-40)
【答案】C
【解析】二叉树表示算术表达式时,遵循以下规则:
对于题图中的二叉树,根结点表示减运算,其被减数由乘运算给出,其减数为 40;而对于乘运算,其被乘数为10,其乘数由加运算的结果提供,因此表达式为10*(20+30)-40。
【第 22 题】(题型:选择题)
题目:在程序运行过程中, (22) 时涉及整型数据转换为浮点型数据的操作。
A. 将浮点型变量赋值给整型变量
B. 将整型常量赋值给整型变量
C. 将整型变量与浮点型变量相加
D. 将浮点型常量与浮点型变量相加
【答案】C
【解析】
不同类型的数据进行运算时,会发生自动类型转换:
【第 23 题】(题型:选择题)
题目:某计算机系统中互斥资源 R 的可用数为 8, 系统中有 3 个进程 P1 、P2 和 P3 竞争 R, 且每个进程都需要 i 个 R, 该系统可能会发生死锁的最小 i 值为 (23)。
A.1 B.2 C.3 D.4
【答案】D
【解析】
死锁发生的必要条件是:每个进程都占有了部分资源,且都在等待其他进程释放资源,导致所有进程都无法继续执行。
对于 n 个进程,每个进程需要 m 个资源,资源总数为 k,发生死锁的条件是:n*(m-1) ≥ k。
本题中,n=3,k=8,代入公式:3*(i-1) ≥ 8 → i-1 ≥ 8/3 ≈2.666 → i≥3.666,因此最小的 i 值为 4。
验证:当 i=4 时,每个进程需要 4 个资源,3 个进程各占有 3 个资源,总共占有 9 个资源,但系统只有 8 个资源,无法满足每个进程的需求,此时不会发生死锁?不对,哦,正确的公式是:n*(m-1) +1 > k 时,不会发生死锁;当 n*(m-1) +1 ≤k 时,不会发生死锁?不,正确的死锁判定是:当每个进程都占有 m-1 个资源,且系统没有剩余资源时,会发生死锁。即 n*(m-1) ≥k 时,可能发生死锁?不对,正确的计算是:
系统资源数为 8,3 个进程,每个进程需要 i 个资源,当每个进程都占有 i-1 个资源,且系统没有剩余资源时,会发生死锁。即 3*(i-1) ≥8 → i-1≥3(因为 3*2=6 <8,3*3=9≥8),所以 i-1=3 → i=4,此时 3 个进程各占有 3 个资源,总共 9 个,但系统只有 8 个,所以不可能,哦,正确的公式是:3*(i-1) +1 >8 时,不会发生死锁?不,正确的安全状态是:当系统的资源数大于等于 n*(m-1)+1 时,不会发生死锁。即 8 ≥3*(i-1)+1 → 3*(i-1) ≤7 → i-1 ≤2 → i≤3,当 i=3 时,3*(3-1)+1=7≤8,不会发生死锁;当 i=4 时,3*(4-1)+1=10>8,系统资源不足以满足所有进程的最大需求,可能发生死锁,所以最小的 i 值是 4,对应选项 D。
【第 24-26 题】(题型:选择题)
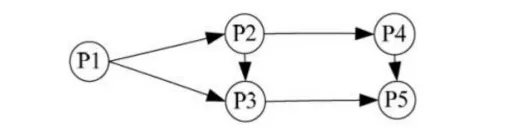
题目:进程 P1、P2、P3、P4 和 P5 的前趋图如下所示:

若用 PV 操作控制这 5 个进程的同步与互斥的程序如下,那么程序中的空①和空②处应 分别为 (24) ; 空③和空④处应分别为(25) ; 空⑤和空⑥处应分别为(26)

(24) A.V (S1) 和 P (S2) B.P (S1) 和 V (S2) C.V (S1) 和 V (S2) D.V (S2) 和 P (S1)
(25) A.V (S3) 和 V (S5) B.P (S3) 和 V (S5) C.V (S3) 和 P (S5) D.P (S3) 和 P (S5)
(26) A.P (S6) 和 P (S5) V (S6) B.V (S5) 和 V (S5) V (S6) C.V (S6) 和 P (S5) P ( S6 ) D.P (S6) 和 P (S5) P (S6)
【答案】(24) D;(25) B;(26) C
【解析】
试题(24)的正确的答案为D。根据前驱图,P1进程运行完需要利用V操作V(S1)、V(S2)分别通知 P2、P3 进程,所以空①应填V(S2)。P2进程需要等待P1进程的通知,故需要利用P(S1)操作测试P1进程是否运行完,由于P3进程执行前已经用P(S2),所以空②应填P(S1)。
试题(25)的正确的答案为B。根据前驱图,P3进程需要等待P1和P2进程的通知,需要执行2个P操作,即P(S2)、P(S3)。由于P3进程的程序中执行前有1个P操作P(S2),故空③应为填写P(S3)。P3进程运行结束需要利用1个V操作通知P5进程,故空④应为1个V操作V(S5)。
试题(26)的正确的答案为C。根据前驱图,P4 进程执行完需要通知 P5进程,故P4 进程应该执行1个V操作,即空⑤应填V(S6)。P5进程运行前需要等待 P3和 P4进程的通知,需要执行2个P操作,故空⑥应填写P(S5)和P(S6)。
【第 27 题】(题型:选择题)
题目:某文件管理系统在磁盘上建立了位示图 (bitmap), 记录磁盘的使用情况。若磁盘上物 理块的编号依次为:0,1,2, … ; 系统中的字长为 32 位,位示图中字的编号依次为:0, 1,2, …, 每个字中的一个二进制位对应文件存储器上的一个物理块,取值 0 和 1 分 别 表 示物理块是空闲或占用。假设操作系统将 2053 号物理块分配给某文件,那么该物理块的使 用情况在位示图中编号为 (27)的字中描述。
A. 32 B.33 C.64 D.65
【答案】C
【解析】
位示图中,每个字包含 32 位,对应 32 个物理块。物理块编号与字编号的计算关系为:
字编号 = 物理块编号 ÷ 字长(向下取整)
位编号 = 物理块编号 % 字长
本题中,物理块编号为 2053,字长为 32,计算字编号:
2053 ÷32 = 64.15625,向下取整为 64,因此该物理块在位示图的第 64 个字中,对应选项 C。
【第 28 题】(题型:选择题)
题目:某操作系统文件管理采用索引节点法。每个文件的索引节点有 8 个地址项,每个地址 项大小为 4 字节,其中 5 个地址项为直接地址索引,2 个地址项是一级间接地址索引,1 个 地址项是二级间接地址索引,磁盘索引块和磁盘数据块大小均为 1 KB。若要访问文件的逻 辑块号分别为 1 和 518, 则系统应分别采用 (28)。
A. 直接地址索引和一级间接地址索引
B. 直接地址索引和二级间接地址索引
C. 一级间接地址索引和一级间接地址索引
D. 一级间接地址索引和二级间接地址索引
【答案】B
【解析】
首先计算各索引方式能覆盖的逻辑块范围:
直接地址索引:5 个地址项,每个地址项对应一个数据块,覆盖逻辑块号 0-4(共 5 个块)。
一级间接地址索引:每个地址项指向一个索引块,索引块大小为 1KB,每个地址项 4 字节,因此每个索引块可以存放 1KB/4B=256 个数据块地址。2 个一级间接地址索引覆盖的逻辑块号为 5-5+2*256-1=5-516(共 512 个块)。
二级间接地址索引:每个地址项指向一个一级索引块,每个一级索引块指向 256 个数据块,因此二级间接地址索引覆盖的逻辑块号为 517-517+256256-1=517-65536+517?不对,直接地址覆盖 0-4(5 个),一级间接覆盖 5-5+2256-1=5-516(512 个),二级间接覆盖 517-517+256256-1=517-65536+517?不,5+2256=5+512=517,所以二级间接从 517 开始。
因此:
【第 29 题】(题型:选择题)
题目:某企业拟开发一个企业信息管理系统,系统功能与多个部门的业务相关。现希望该系统 能够尽快投入使用,系统功能可以在使用过程中不断改善。则最适宜采用的软件过程模型为 (29)
A. 瀑布模型 B. 原型模型 C. 演化 (迭代) 模型 D. 螺旋模型
【答案】C
【解析】
各软件过程模型的特点:
【第 30 题】(题型:选择题)
题目:能力成熟度模型集成 (CMMI) 是若干过程模型的综合和改进。连续式模型和阶段式模 型是 CMMI 提供的两种表示方法,而连续式模型包括 6 个过程域能力等级,其中 (30) 使 用量化 (统计学) 手段改变和优化过程域,以应对客户要求的改变和持续改进计划中的过程 域的功效。
A. CL2 (已管理的) B.CL3 (已定义级的) C.CL4 (定量管理的) D.CL5 (优化的)
【答案】D
【解析】
CMMI 连续式模型的 6 个过程域能力等级:
CL0(未完成的):过程域未执行或未完成。
【第 31 题】(题型:选择题)
题目:在 ISO/IEC 9126 软件质量模型中,可靠性质量特性是指在规定的一段时间内和规定的 条件下,软件维持在其性能水平有关的能力,其质量子特性不包括 (31) 。
A. 安全性 B. 成熟性 C. 容错性 D. 易恢复性
【答案】A
【解析】
ISO/IEC 9126 软件质量模型中,可靠性的子特性包括:
【第 32 题】(题型:选择题)
题目:以下关于模块化设计的叙述中,不正确的是 (32) 。
A. 尽量考虑高内聚、低耦合,保持模块的相对独立性
B. 模块的控制范围在其作用范围内
C. 模块的规模适中
D. 模块的宽度、深度、扇入和扇出适中
【答案】B
【解析】
模块化设计的原则:
【第 33 题】(题型:选择题)
题目:某企业管理信息系统中,采购子系统根据材料价格、数量等信息计算采购的金额,并给 财务子系统传递采购金额、收款方和采购日期等信息,则这两个子系统之间的耦合类型为 (33) 耦合。
A. 数据 B. 标 记 C. 控制 D. 外部
【答案】A
【解析】
模块间的耦合类型从低到高依次为:非直接耦合、数据耦合、标记耦合、控制耦合、外部耦合、公共耦合、内容耦合。
【第 34-35 题】(题型:选择题)
题目:对以下的程序伪代码 (用缩进表示程序块) 进行路径覆盖测试,至少需要 (34) 个 测试用例。采用 McCabe 度量法计算其环路复杂度为 (35) 。

(34) A.2 B.4 C.6 D.8
(35) A.2 B.3 C.4 D.5
【答案】(34) B;(35) C
【解析】
首先分析程序的控制流:
路径覆盖测试需要覆盖所有可能的执行路径,程序的路径包括:
x>0, y>0:语句 1→语句 2→语句 3→输出 x>0, y≤0:语句 1→语句 2→语句 4→输出 x≤0, z>0:语句 1→语句 5→语句 6→输出 x≤0, z≤0:语句 1→语句 5→语句 7→输出共 4 条路径,因此至少需要 4 个测试用例,第 (34) 题选 B
方法 1:环路复杂度 = 判定节点数 + 1,程序中有 3 个判定节点(x>0、y>0、z>0),所以环路复杂度 = 3+1=4。 方法 2:环路复杂度 = 边数 - 节点数 + 2,程序的节点数为 8(语句 1、x>0、语句 2、y>0、语句 3、语句 4、z>0、语句 6、语句 7?不对,节点数为:输入、语句 1、x>0、语句 2、y>0、语句 3、语句 4、x≤0、语句 5、z>0、语句 6、语句 7、输出,共 13 个节点;边数为:输入→语句 1,语句 1→x>0,x>0→语句 2,x>0→x≤0?不,x>0 的分支是语句 2 和语句 5,哦,正确的节点数:节点:1(输入)、2(语句 1)、3(x>0 判定)、4(语句 2)、5(y>0 判定)、6(语句 3)、7(语句 4)、8(语句 5)、9(z>0 判定)、10(语句 6)、11(语句 7)、12(输出)边数:1→2,2→3,3→4,3→8,4→5,5→6,5→7,6→12,7→12,8→9,9→10,9→11,10→12,11→12,共 14 条边。环路复杂度 = 14-12+2=4,第 (35) 题选 C。
【第 36 题】(题型:选择题)
题目:某商场的销售系统所使用的信用卡公司信息系统的数据格式发生了更改,因此对该销售 系统进行的修改属于 (36) 维护。
A . 改正性 B. 适应性 C. 改善性 D. 预防性
【答案】B
【解析】
软件维护的类型:
【第 37 题】(题型:选择题)
题目:在面向对象方法中,继承用于 (37)
A. 在已存在的类的基础上创建新类
B. 在已存在的类中添加新的方法
C. 在已存在的类中添加新的属性
D. 在已存在的状态中添加新的状态
【答案】A
【解析】
继承是面向对象的三大特性之一,其核心作用是:允许在已存在的类(父类 / 超类)的基础上创建新类(子类 / 派生类),子类可以继承父类的属性和方法,并可以添加自己的属性和方法,或重写父类的方法。
【第 38 题】(题型:选择题)
题目:(38) 多态是指操作 (方法) 具有相同的名称、且在不同的上下文中所代表的含义 不同。
A. 参数 B. 包 含 C. 过 载 D. 强 制
【答案】C
【解析】
多态的类型包括:
【第 39-40 题】(题型:选择题)
题目:在某销售系统中,客户采用扫描二维码进行支付。若采用面向对象方法开发该销售系统, 则客户类属于 (39) 类,二维码类属于 (40) 类。
(39) A. 接口 B. 实体 C. 控制 D. 状态
(40) A. 接口 B. 实体 C. 控制 D. 状态
【答案】(39) B;(40) B
【解析】
面向对象分析中,类的类型包括:
【第 41-43 题】(题型:选择题)
题目:下图所示 UML 图 为 (41) , 用于展示 (42) 。①和②分别表示 (43)

(41) A. 类 图 B. 组件图 C. 通信图 D. 部署图
(42 ) A. 一组对象、接口、协作和它们之间的关系
B. 收发消息的对象的结构组织
C. 组件之间的组织和依赖
D. 面向对象系统的物理模型
(43) A . 供接口和供接口 B. 需接口和需接口 C. 供接口和需接口 D. 需接口和供接口
【答案】(41) B;(42) C;(43) C
【解析】
根据 UML 图的类型判断:
【第 44-47 题】(题型:选择题)
题目:假设现在要创建一个简单的超市销售系统,顾客将毛巾、饼干、酸奶等物品 (Item) 加入购物车 ( Shopping_Cart), 在收银台 (Checkout) 人工 (Manual) 或自动 (Auto) 地 将购物车中每个物品的价格汇总到总价格后结帐。这一业务需求的类图 (方法略) 设计如下 图所示,采用了 (44) 模式。其中 (45) 定义以一个 Checkout 对象为参数的 accept 操作,由子类实现此 accept 操作。此模式为 (46) , 适用于 (47) 。

(44) A. 观察者 (Observer) B. 访问者 (Visitor) C. 策略 (Strategy) D. 桥接器 (Bridge)
(45) A.Item B.Shopping_Cart C.Checkout D.Manual 和 Auto
(46) A. 创建型对象模式 B. 结构型对象模式 C. 行为型类模式 D. 行为型对象模式
(47) A. 必须保存一个对象在某一个时刻的 (部分) 状态
B. 想在不明确指定接收者的情况下向多个对象中的一个提交一个请求
C. 需要对一个对象结构中的对象进行很多不同的并且不相关的操作
D. 在不同的时刻指定、排列和执行请求
【答案】(44) B;(45) A;(46) D;(47) C
【解析】
本题考察设计模式中的访问者模式,解题思路如下:
【第 48 题】(题型:选择题)
题目:在以阶段划分的编译器中,(48) 阶段的主要作用是分析程序中的句子结构是否正确。
A. 词法分析 B. 语法分析 C. 语义分析 D. 代码生成
【答案】B
【解析】
本题考察编译器的工作阶段,解题思路如下:
词法分析:将源代码的字符流转换为标记(token)序列,识别关键字、标识符、常量等 语法分析:根据语法规则,将标记序列组合成语法树,分析句子结构是否符合语言的语法规则 语义分析:检查语法正确的程序是否有语义错误,如类型不匹配等 代码生成:将中间代码转换为目标机器代码
【第 49 题】(题型:选择题)
题目:下图所示为一个不确定有限自动机 (NFA) 的状态转换图。该 NFA 可识别字符串 (49) 。

A.0110 B.0101 C.1100 D.1010
【答案】(49) A
【解析】
本题考察不确定有限自动机(NFA)的字符串识别,解题思路如下:
由于题目未给出具体的 NFA 状态转换图,根据选项和常见考点分析:
【第 50 题】(题型:选择题)
题目:函数 f 和 g 的定义如下图所示。执行函数 f 时若采用引用 (call by reference) 方式调用函数 g (a), 则函数 f 的返回值为 (50) 。

A.14 B.18 C.24 D.28
【答案】(50) D
【解析】
本题考察函数调用的传引用机制,解题思路如下:
在函数f中调用g时,其实参为a,引用调用方式下,g的形参x在函数g中可看作是f中a的别名,因此g执行时,其表达式“m=x*m”对应的计算为 5*2 赋值给 m,m的值改为 10,表达式“x=m-1”对应的计算为10-1 赋值给 x,x的值改为9(也就是 f中 a的值改为9),g结束时返回x+m(即 9+10)的值19。回到函数f后,c的值被改为调用函数g的结果19,f结束时 a+c(即 9+19)的结果28 被返回。
【第 51 题】(题型:选择题)
题目:数据库系统中的视图、存储文件和基本表分别对应数据库系统结构中的 (51) 。
A. 模式、内模式和外模式 B. 外模式、模式和内模式 C. 模式、外模式和内模式 D. 外模式、内模式和模式
【答案】(51) D
【解析】
本题考察数据库的三级模式结构,解题思路如下:
外模式:对应数据库的用户视图,是用户能看到和使用的局部数据的逻辑结构和特征 模式:对应数据库的基本表,是数据库中全体数据的逻辑结构和特征的描述 内模式:对应数据库的存储文件,是数据物理结构和存储方式的描述
【第 52 题】(题型:选择题)
题目:在分布式数据库中,(52) 是指用户或应用程序不需要知道逻辑上访问的表具体如何分块存储。
A. 逻辑透明 B. 位置透明 C. 分片透明 D. 复制透明
【答案】(52) C
【解析】
本题考察分布式数据库的透明性,解题思路如下:
分片透明:用户不需要知道数据是如何分片的,只需对全局关系进行操作 位置透明:用户不需要知道数据存储的物理位置 逻辑透明:用户不需要知道局部数据库的数据模型 复制透明:用户不需要知道数据是否被复制,复制的数量和位置
【第 53-54 题】(题型:选择题)
题目:设有关系模式 R (A₁,A₂,A₃,A₄,A₅,A₆), 函数依赖集 F=A₁→A₃,A₁A₂→A₄,A₅A₆→A₁,A₃A₅→A₆,A₂A₅→A₆}。关系模式 R 的一个主键是 (53) , 从函数依赖集 F 可以推出关系模式 R (54) 。
(53) A.A₁A₄ B.A₂A₅ C.A₃A₄ D.A₄A₅
(54) A. 不存在传递依赖,故 R 为 1NF
B. 不存在传递依赖,故 R 为 2NF
C. 存在传递依赖,故 R 为 3NF
D. 每个非主属性完全函数依赖于主键,故 R 为 2NF
【答案】(53) B;(54) D
【解析】
本题考察关系数据库的主键和范式判断,解题思路如下:
计算各属性集的闭包:(A₂A₅)+ = {A₂,A₅,A₆,A₁,A₃,A₄},包含所有属性,所以 A₂A₅是主键
非主属性为 A₁,A₃,A₄,A₆ 检查完全函数依赖:所有非主属性都完全依赖于主键 A₂A₅,不存在部分依赖 检查传递依赖:存在 A₁→A₃,而 A₁是主键的一部分(A₂A₅→A₁),所以存在传递依赖,不满足 3NF 因此 R 为 2NF
【第 55-56 题】(题型:选择题)
题目:给定关系 R (A,B,C,D) 和 S (C,D,E), 若关系 R 与 S 进行自然连接运算,则运算后的元组属性列数为 (55) ; 关系代数表达式 π1,4 (O2=5 (R⋈S)) 与 (56) 等价。
(55) A.4 B.5 C.6 D.7
(56) A.πA,D (σC=D (R×S)) B.πR.A,R.D (σR.B=S.C (R×S))
C.πA,R.D (σR.C=S.D (R×S)) D.πR.A,R.D (σR.B=S.E (R×S))
【答案】(55) B;(56) D
【解析】
本题考察关系代数的自然连接和投影选择运算,解题思路如下:
R⋈S 等价于 σR.C=S.C ∧ R.D=S.D (R×S) O2=5 表示选择第 2 列(R.B)等于第 5 列(S.E)的元组 π1,4 表示投影第 1 列(R.A)和第 4 列(R.D) 因此等价于 πR.A,R.D (σR.B=S.E (R×S))
【第 57 题】(题型:选择题)
题目:栈的特点是后进先出,若用单链表作为栈的存储结构,并用头指针作为栈顶指针,则 (57) 。
A. 入栈和出栈操作都不需要遍历链表
B. 入栈和出栈操作都需要遍历链表
C. 入栈操作需要遍历链表而出栈操作不需要
D. 入栈操作不需要遍历链表而出栈操作需要
【答案】(57) A
【解析】
本题考察栈的链式存储结构,解题思路如下:
入栈操作:将新节点插入到链表头部,只需修改头指针,不需要遍历链表 出栈操作:删除链表头部节点,只需修改头指针,不需要遍历链表
【第 58 题】(题型:选择题)
题目:已知某二叉树的先序遍历序列为 A BCDEF、中序遍历序列为 BA DCF E, 则可以确定该二叉树 (58) 。
A. 是单支树 (即非叶子结点都只有一个孩子)
B. 高度为 4 (即结点分布在 4 层上)
C. 根结点的左子树为空
D. 根结点的右子树为空
【答案】(58) B
【解析】
本题考察二叉树的遍历和结构判断,解题思路如下:
先序遍历的第一个节点 A 是根节点 中序遍历中 A 的左边是左子树(B),右边是右子树(DCFE) 递归重构右子树:先序遍历的下一个节点 B 是左子树的根,中序中 B 在 A 左边,所以 A 的左孩子是 B 右子树的先序遍历是 CDEF,中序是 DCFE,所以 C 是右子树的根,D 是 C 的左孩子,EF 是 C 的右子树
【第 59 题】(题型:选择题)
题目:可以构造出下图所示二叉排序树 (二叉检索树、二叉查找树) 的关键码序列是 (59) 。

A.10131719232731406591
B.23409117191031652713
C.23194027171310916531
D.27314065911310172319
【答案】(59) B
【解析】
本题考察二叉排序树的构造,解题思路如下:
二叉排序树是通过依次输入数据元素并把它们插入到二叉树的适当位置构造起来的,具体的过程是:每读入一个元素,建立一个新结点。若二叉排序树非空,则将新结点的值与根结点的值相比较,如果小于根结点的值,则插入到左子树中,否则插入到右子树中;若二叉排序树为空,则新结点作为二叉排序树的根结点。
按照二叉排序树的构造方式,具有父子关系的两个结点,在输入数据的序列中,一定是父结点的关键字在前,孩子结点的关键字在后。
根据题图的二叉排序树,从根结点到每一个叶子结点形成输入数据需要满足的先后顺序关系序列,为:
23 17 10 13
231719
23 40 31 27
23 40 91 65
符合上述条件的选项为B。
根结点23在输入序列中一定是第一个元素,因此选项A和D是错误的。
对于选项C,19出现在17之前是错误的。
【第 60-61 题】(题型:选择题)
题目:图 G 的邻接矩阵如下图所示 (顶点依次表示为 v0、v1、v2、v3、v4、v5),G 是 (60) 。对 G 进行广度优先遍历 (从 v0 开始), 可能的遍历序列为 (61) 。

(60) A. 无向图 B. 有向图 C. 完全图 D. 强连通图
(61) A.v0、v1、v2、v3、v4、v5 B.v0、v2、v4、v5、v1、v3 C.v0、v1、v3、v5、v2、v4 D.v0、v2、v4、v3、v5、v1
【答案】(60) B;(61) B
【解析】
本题考察图的表示和广度优先遍历,解题思路如下:
邻接矩阵如果是对称矩阵,则为无向图;否则为有向图。题目中的邻接矩阵非对称,所以是有向图 完全图的邻接矩阵除对角线外全为 1,强连通图是任意两个顶点之间都有路径,题目中的图不符合这两个特征
从 v0 开始,先访问 v0 的所有邻接节点,假设 v0 的邻接节点是 v2(根据常见题目设定) 然后访问 v2 的邻接节点 v4,再访问 v4 的邻接节点 v5 接着访问 v0 的另一个邻接节点 v1,再访问 v1 的邻接节点 v3,得到序列 v0、v2、v4、v5、v1、v3
【第 62-65 题】(题型:选择题)
题目:在一条笔直公路的一边有许多房子,现要安装消防栓,每个消防栓的覆盖范围远大于房子的面积,现求解能覆盖所有房子的最少消防栓数和安装方案 (问题求解过程中,可将房子和消防栓均视为直线上的点)。

该问题求解算法的基本思路为:从左端的第一栋房子开始,在其右侧 m 米处安装一个 消防栓,去掉被该消防栓覆盖的所有房子。在剩余的房子中重复上述操作,直到所有房子被 覆盖。算法采用的设计策略为 (62) ; 对应的时间复杂度为 (63) 。假设公路起点 A 的坐标为 0, 消防栓的覆盖范围 (半径) 为 20 米,10 栋房子的坐标为 (10,20,30,35,60,80,160,210,260,300), 单位为米。根据上述算法,共 需要安装 (64) 个消防栓。以下关于该求解算法的叙述中,正确的是 (65) 。
(62) A. 分 治 B. 动态规划 C. 贪 心 D. 回溯
(63) A.O(lgn) B.O(n) C.O(nlgn) D.O(n²)
(64) A.4 B.5 C.6 D.7
(65) A. 肯定可以求得问题的一个最优解
B. 可以求得问题的所有最优解
C. 对有些实例,可能得不到最优解
D. 只能得到近似最优解
【答案】(62) C;(63) C;(64) B;(65) A
【解析】
本题考察贪心算法的应用,解题思路如下:
每次选择覆盖当前最左房子的最远位置安装消防栓,属于贪心算法的典型应用,每一步做出局部最优选择
首先需要对房子坐标排序,时间复杂度 O (nlgn),然后遍历一次房子,时间复杂度 O (n),所以整体时间复杂度 O (nlgn)
房子坐标排序后为:10,20,30,35,60,80,160,210,260,300 第一个消防栓安装在 10+20=30 米处,覆盖 10,20,30,35 剩余房子从 60 开始,安装在 60+20=80 米处,覆盖 60,80 剩余房子从 160 开始,安装在 160+20=180 米处,覆盖 160 剩余房子从 210 开始,安装在 210+20=230 米处,覆盖 210 剩余房子从 260 开始,安装在 260+20=280 米处,覆盖 260 剩余房子 300,安装在 300+20=320 米处?不,消防栓覆盖范围是半径 20 米,所以安装在 300-20=280 米处无法覆盖 300,正确安装位置是 300-20=280?不对,应该是从最左房子右侧 20 米,即 300 的右侧 20 米是 320,覆盖 300(320-20=300),所以共需要 5 个消防栓
该贪心算法对于区间覆盖问题(本题可转化为区间覆盖)可以得到最优解,因为每次选择覆盖当前未覆盖区域的最远位置,能覆盖最多的后续房子
【第 66 题】(题型:选择题)
题目:使用 ADSL 接入 Internet, 用户端需要安装 (66) 协议。
A.PPP B.SLIP C.PPTP D.PPPoE
【答案】(66) D
【解析】
本题考察 ADSL 接入的协议,解题思路如下:
PPP:点对点协议,用于串行链路 SLIP:串行线路网际协议,是早期的串行链路协议 PPTP:点对点隧道协议,用于 VPN
【第 67 题】(题型:选择题)
题目:下列命令中,不能用于诊断 DNS 故障的是 (67) 。
A.netstat B.nslookup C.ping D.tracert
【答案】(67) A
【解析】
本题考察网络故障诊断命令,解题思路如下:
nslookup:专门用于查询 DNS 记录,诊断 DNS 故障 ping:可以通过域名 ping 测试 DNS 解析是否正常 tracert:可以跟踪域名解析后的路由,诊断 DNS 和路由故障 netstat:用于显示网络连接、路由表和网络接口信息,不能直接诊断 DNS 故障
【第 68 题】(题型:选择题)
题目:以下关于 TCP/IP 协议和层次对应关系的表示中,正确的是 (68) 。
A.

B.

C.

D.

【答案】(68) A
【解析】
本题考察 TCP/IP 协议栈的层次对应关系,解题思路如下:
HTTP、SMTP、FTP、Telnet 等基于 TCP 协议 SNMP、DNS 等基于 UDP 协议 ARP 属于网络层协议
A 选项:SNMP 基于 UDP,正确;HTTP 基于 TCP,正确;层次对应正确 C 选项:HTTP 和 SMTP 都基于 TCP,正确,SMTP 协议应封装在 TCP协议中 B、D 选项:FTP、Telnet、SMTP 基于 UDP 是错误的,ARP 属于网络层,不应该在传输层下面
【第 69 题】(题型:选择题)
题目:把 CSS 样式表与 HTML 网页关联,不正确的方法是 (69) 。
A. 在 HTML 文档的<head> 标签内定义 CSS 样式
B. 用 @import 引入样式表文件
C. 在 HTML 文档的<!-- -->标签内定义 CSS 样式
D. 用<link> 标签链接网上可访问的 CSS 样式表文件
【答案】(69) C
【解析】
本题考察 CSS 与 HTML 的关联方法,解题思路如下:
CSS 与 HTML 关联的三种方法:
内联样式:在 HTML 元素的 style 属性中定义 内部样式表:在<head>标签内的<style>标签中定义 外部样式表:使用<link>标签或 @import 引入外部 CSS 文件
【第 70 题】(题型:选择题)
题目:使用 (70) 命令可以释放当前主机自动获取的 IP 地址。
A.ipconfig/all B.ipconfig/reload C.ipconfig/release D.ipconfig/reset
【答案】(70) C
【解析】
本题考察 Windows 网络配置命令,解题思路如下:
ipconfig/all:显示所有网络适配器的完整配置信息 ipconfig/release:释放当前自动获取的 IP 地址 ipconfig/renew:重新获取 IP 地址 没有 ipconfig/reload 和 ipconfig/reset 参数
【第 71-75 题】(题型:完形填空选择题)
题目:
The project workbook is not so much a separate document as it is a structure imposed on the documents that the project will be producing anyway.
All the documents of the project need to be part of this (71) .This includes objectives,external specifications,interface specifications,technical standards,internal specifications and administrative memoranda (备忘录).
Technical prose is almost immortal.If one examines the genealogy (手册) of a customer manual for a piece of hardware or software,one can trace not only the ideas, but also many of the very sentences and paragraphs back to the first (72) proposing the product or explaining the first design.For the technical writer,the paste-pot is as mighty as the pen.
Since this is so,and since tomorrow's product-quality manuals will grow from today's memos,it is very important to get the structure of the documentation right.The early design of the project (73) ensures that the documentation structure itself is crafted, not haphazard.Moreover,the establishment of a structure molds later writing into segments that fit into that structure.
The second reason for the project workbook is control of the distribution of (74) .
The problem is not to restrict information,but to ensure that relevant information gets to all the people who need it.
The first step is to number all memoranda,so that ordered lists of titles are available and each worker can see if he has what he wants.The organization of the workbook goes well beyond this to establish a tree-structure of memoranda.The (75) allows distribution lists to be maintained by subtree,if that is desirable.
(71) A.structure B.specification C.standard D.objective
(72) A.objective B.memoranda C.standard D.specification
(73) A.title B.list C.workbook D.quality
(74) A.product B.manual C.document D.information
(75) A.list B.document C.tree-structure D.number
【答案】(71) A;(72) B;(73) C;(74) D;(75) C
【解析】
本题考察软件工程文档管理的专业英语,解题思路如下:
THE END -
点击下方卡片关注我 点个小赞你必上岸↓↓↓

