高三第一阶段复习(24)——向量与几何真题练习4

四季读书网 9 0
高三第一阶段复习(24)——向量与几何真题练习4

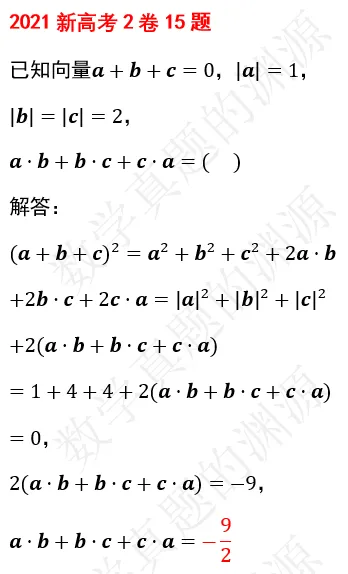
高三第一阶段复习(24)——向量与几何真题练习4 第1张

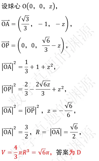
高三第一阶段复习(24)——向量与几何真题练习4 第2张

高三第一阶段复习(24)——向量与几何真题练习4 第3张

高三第一阶段复习(24)——向量与几何真题练习4 第4张

高三第一阶段复习(24)——向量与几何真题练习4 第5张

高三第一阶段复习(24)——向量与几何真题练习4 第6张

高三第一阶段复习(24)——向量与几何真题练习4 第7张

高三第一阶段复习(24)——向量与几何真题练习4 第8张

高三第一阶段复习(24)——向量与几何真题练习4 第9张

高三第一阶段复习(24)——向量与几何真题练习4 第10张

高三第一阶段复习(24)——向量与几何真题练习4 第11张

高三第一阶段复习(24)——向量与几何真题练习4 第12张

高三第一阶段复习(24)——向量与几何真题练习4 第13张

抱歉,评论功能暂时关闭!