中考模拟
2026年成都实验外国语中考模拟题(一)





五、解答题
24. 某家电子产品商城计划购机A、B两种不同型号的平板电脑,每台A型平板电脑的购进价格比B型多1000元,用10.5万元购买A型的台数与用7.5万元购买B型的台数相等.
(1)求A、B两种型号的购进单价分别是多少?
(2)该商城计划购进A、B两种不同型号的平板电脑共100台,售卖A、B两型平板电脑的单价分别为4200元、3000元,要求购进A型平板电脑的数量不超过B型的2倍,如何购进A、B两型平板电脑,才能使总利润最高?最高是多少?


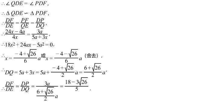
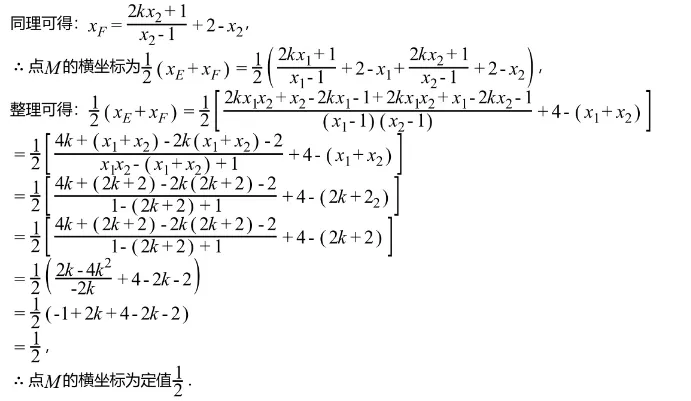
答案解析
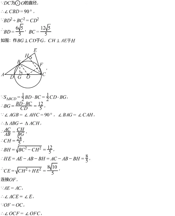
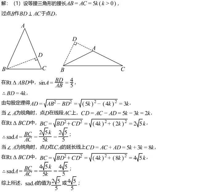
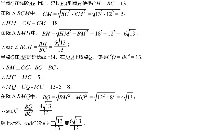
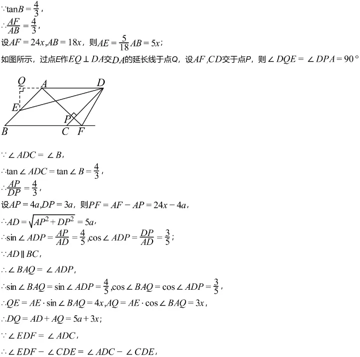
难题解析
















初中数学精品资料
七年级数学资料
八年级数学资料
九年级数学资料
2026中考模拟
2025中考数学压轴题解析
更新中.........
2025中考真题
更新中.........
中考数学最值微课
更新中.........
中考数学知识拓展
更新中.......
文章来源:
四季读书网
版权声明:本文内容由互联网用户自发贡献,该文观点仅代表作者本人。本站仅提供信息存储空间服务,不拥有所有权,不承担相关法律责任。如发现本站有涉嫌抄袭侵权/违法违规的内容, 请发送邮件至23467321@qq.com举报,一经查实,本站将立刻删除;如已特别标注为本站原创文章的,转载时请以链接形式注明文章出处,谢谢!