26中考数学必刷真题考点分类专练专题04《二次根式》含解析

四季读书网 11 0
26中考数学必刷真题考点分类专练专题04《二次根式》含解析
26中考数学必刷真题考点分类专练专题04《二次根式》含解析 第1张
26中考数学必刷真题考点分类专练专题04《二次根式》含解析 第2张
26中考数学必刷真题考点分类专练专题04《二次根式》含解析 第3张
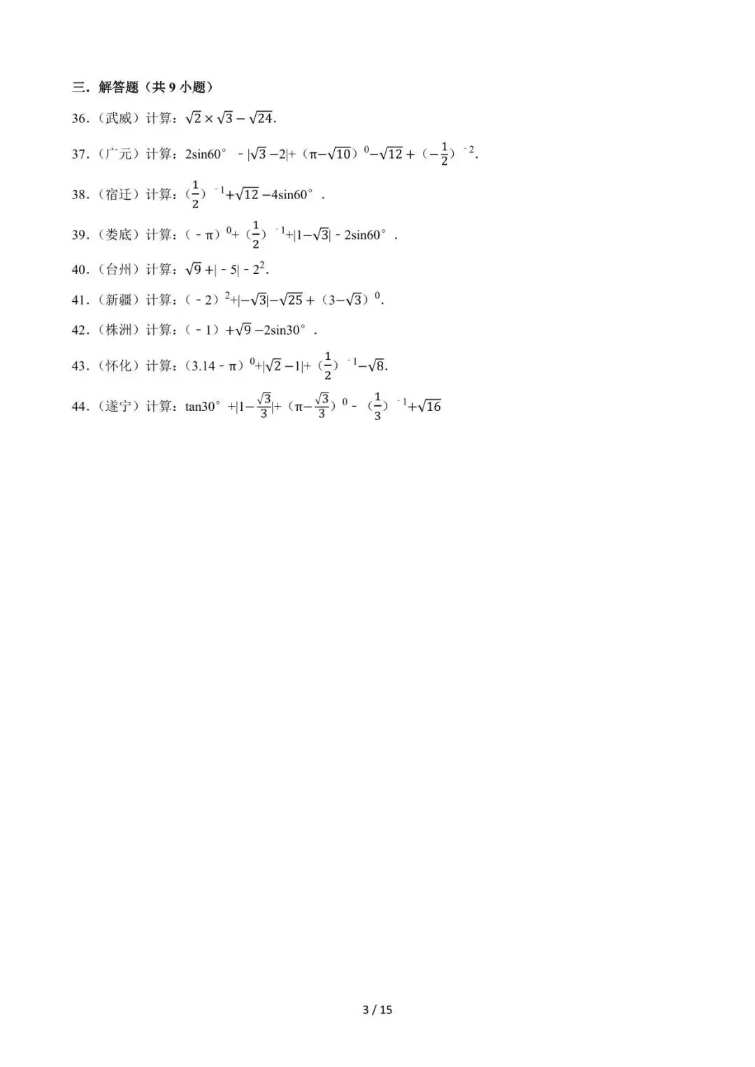
26中考数学必刷真题考点分类专练专题04《二次根式》含解析 第4张
26中考数学必刷真题考点分类专练专题04《二次根式》含解析 第5张
26中考数学必刷真题考点分类专练专题04《二次根式》含解析 第6张
26中考数学必刷真题考点分类专练专题04《二次根式》含解析 第7张
26中考数学必刷真题考点分类专练专题04《二次根式》含解析 第8张
26中考数学必刷真题考点分类专练专题04《二次根式》含解析 第9张
26中考数学必刷真题考点分类专练专题04《二次根式》含解析 第10张
26中考数学必刷真题考点分类专练专题04《二次根式》含解析 第11张
26中考数学必刷真题考点分类专练专题04《二次根式》含解析 第12张31876
26中考数学必刷真题考点分类专练专题04《二次根式》含解析 第13张
26中考数学必刷真题考点分类专练专题04《二次根式》含解析 第14张

抱歉,评论功能暂时关闭!