重要极限推广式在转本真题中的运用

四季读书网 7 0
重要极限推广式在转本真题中的运用
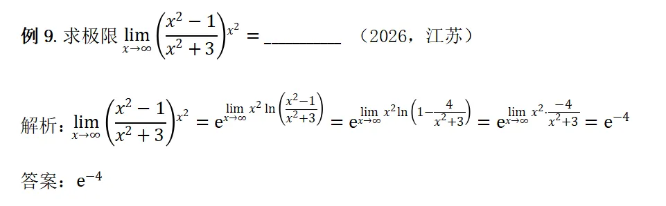
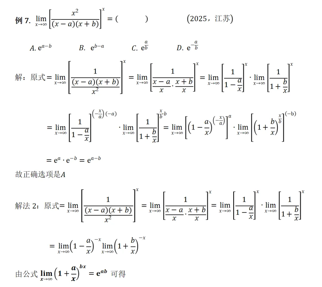
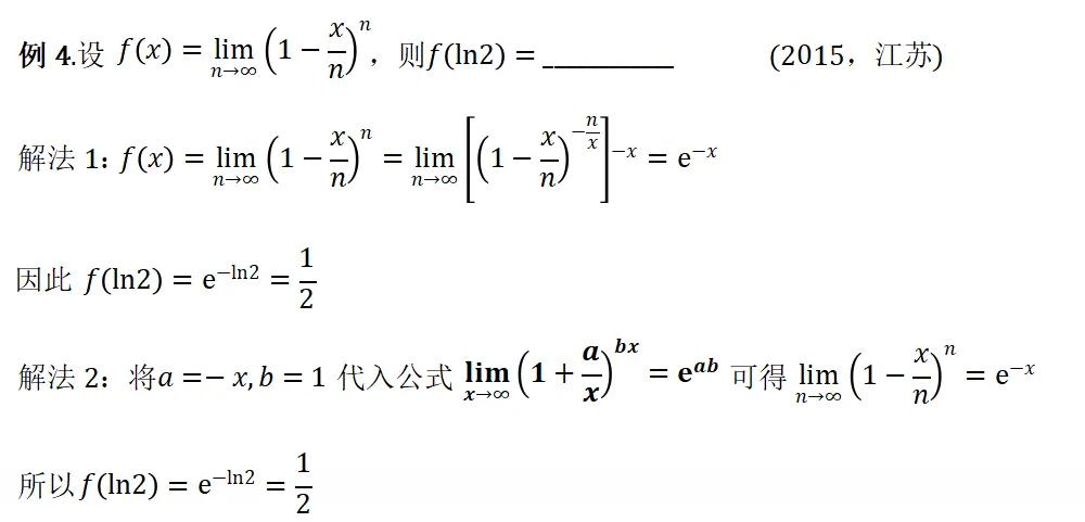
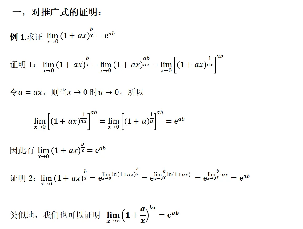
重要极限推广式在转本真题中的运用 第1张
重要极限推广式在转本真题中的运用 第2张
重要极限推广式在转本真题中的运用 第3张
重要极限推广式在转本真题中的运用 第4张
重要极限推广式在转本真题中的运用 第5张
重要极限推广式在转本真题中的运用 第6张
重要极限推广式在转本真题中的运用 第7张
重要极限推广式在转本真题中的运用 第8张
重要极限推广式在转本真题中的运用 第9张
重要极限推广式在转本真题中的运用 第10张

抱歉,评论功能暂时关闭!