

一模Day15
1
名师讲解
已关注
关注
重播 分享 赞
2
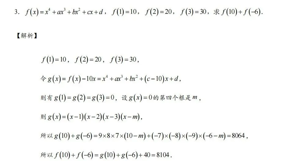
答案速对



匡班自招Day15
1
名师讲解
已关注
关注
重播 分享 赞
2
答案速对


扫码入群参与学习,朋友圈集赞还能领纸质讲义包邮到家
扫码添加班主任微信,进入初三学习群参与免费打卡学习,转发推文中考90天,两个阶段,三场考试,一个目标至朋友圈集满28赞,即可领取自招和一模纸质版打卡讲义包邮到家~


关于博学



1
好成绩在博学
● 连续两年匡班/少预就读人数均破百
● 近三年累计20人被清北录取
● 近五年累计19人被中科大少年班/少 年创新班录取
● 学生参加强基考试都表示“很简单”
2
好老师在博学









✦
左右滑动查看更多教师介绍
✦
END
如需更多学习资料与课程信息,关注“博学苏韵”公众号。教育之路,博学与您同行。
文章来源:
四季读书网
版权声明:本文内容由互联网用户自发贡献,该文观点仅代表作者本人。本站仅提供信息存储空间服务,不拥有所有权,不承担相关法律责任。如发现本站有涉嫌抄袭侵权/违法违规的内容, 请发送邮件至23467321@qq.com举报,一经查实,本站将立刻删除;如已特别标注为本站原创文章的,转载时请以链接形式注明文章出处,谢谢!