在网络工程项目全流程中,项目测试的测试目标来自于()阶段。
A.需求分析
B.网络设计
C.实施
D.运维
网络工程建设全流程(生命周期)
一个标准的网络工程项目,通常遵循以下五个阶段:
需求分析:确定网络必须“做什么”(功能、性能、安全、可靠性等指标)。这是整个项目的依据和源头。
网络设计:确定网络“怎么做”(拓扑结构、设备选型、IP地址规划、路由协议等)。
实施与部署:根据设计文档进行设备安装、配置、连线和调试。
测试与验收:对照需求分析阶段的指标,验证网络是否达标。
运维与优化:网络上线后的日常监控、故障处理和性能调优。
各阶段核心交付物与测试的关系
理解每个阶段产生什么文档,以及它和测试环节的关系,是解题的关键。

易混淆点辨析(高频考点)
需求 vs 设计:需求是“目标”,设计是“方案”。测试是为了检查“方案”是否实现了“目标”。所以测试目标源于需求,而不是设计。
测试 vs 实施:实施是“施工”,测试是“验收”。先施工,后验收。所以测试目标不是来自于施工阶段。
测试 vs 运维:项目交付前的验证活动叫“测试”;系统上线后的日常检查叫“运维监控”。两者的目的和时间点不同。
核心结论(直接用于考试)
在网络工程全流程中,所有验证活动的依据(包括测试目标、验收标准)都最终追溯到【需求分析】阶段。
一句话记忆法:
需求定目标,设计出方案,实施建网络,测试验需求,运维保长效。
网络建设完成后需要进行日常维护,维护的内容不包括():
A.网络设备管理
B.操作系统维护
C.网络安全管理
D.网络规划设计
网络生命周期的两个主要阶段
一个网络系统从无到有再到退出,通常分为两大阶段:

本题关键: “网络建设完成后” → 进入运维阶段。“日常维护” → 属于运维阶段的工作。“网络规划设计” → 属于建设阶段的工作。
日常维护(运维阶段)的典型内容
日常维护的目标是保障网络持续、稳定、安全、高效运行。主要包括以下几大类:
| 设备管理 | A. 网络设备管理 | |
| 系统维护 | B. 操作系统维护 | |
| 安全管理 | C. 网络安全管理 | |
| 性能管理 | ||
| 故障管理 | ||
| 配置管理 |
易混淆点辨析(高频考点)
“配置变更”属于运维,但“规划设计”属于建设:日常维护中允许修改配置(如改一个VLAN、加一条路由),但这不是重新规划整个网络。规划设计涉及宏观架构,如“决定采用三层架构还是胖树架构”“规划新的IP地址段”。
扩容/改造属于什么?如果网络需要增加新设备、新区域,这通常视为原有网络的扩展项目,会重新走一遍“需求→设计→实施→测试”流程,不属于日常维护的范畴。
核心结论(直接用于考试)
网络建设完成后的日常维护包括:设备管理、操作系统维护、安全管理、性能管理、故障管理、配置管理等。网络规划设计是建设阶段的工作,不属于日常维护。
一句话记忆法:
运维管运行,规划建之前。或者:设备、系统、安全天天管,规划设计只在开工前。
下列描述中,违反《中华人民共和国网络安全法》的是()。
A.网络运营者应当对其收集的用户信息严格保密
B.网络运营者不得篡改、毁损其收集的个人信息
C.网络运者使用收集的个人信息可以不经被收集者同意
D.网络运营者应当建立网络信息安全投诉、举报制度
法律依据:《网络安全法》第四十一条明确规定:“网络运营者收集、使用个人信息,应当遵循合法、正当、必要的原则,公开收集、使用规则,明示收集、使用信息的目的、方式和范围,并经被收集者同意。”
核心原则:个人信息的收集和使用,必须遵循 “告知-同意” 原则。不经同意就使用,属于违法行为。
核心知识点总结(针对软考网络工程师)
《网络安全法》关于个人信息保护的核心要点:
收集使用需同意:收集、使用个人信息,必须经被收集者同意(明示同意)。
原则三件套:合法、正当、必要。
告知义务:必须公开收集使用规则,明示目的、方式和范围。
保密义务:对用户信息严格保密。
禁止篡改毁损:不得篡改、毁损收集的个人信息。
安全保护义务:采取技术措施和其他必要措施,防止信息泄露、篡改、毁损。
投诉举报制度:必须建立并公布渠道。
五类、六类网线的标准是由()制定的。
A.ISO/IEC JTC1 SC25委员会
B.中国国家标准化管理委员会
C.中国标准化协会
D.美国国家标准协会
制定网线等级标准的核心组织:

五类、六类网线的标准定义:
五类线:传输频率为100MHz,主要用于百兆/千兆以太网。国际标准对应 Class D,TIA标准对应 Category 5e 。
六类线:传输频率提升至250MHz,性能大幅优于五类线。国际标准对应 Class E,TIA标准对应 Category 6 。
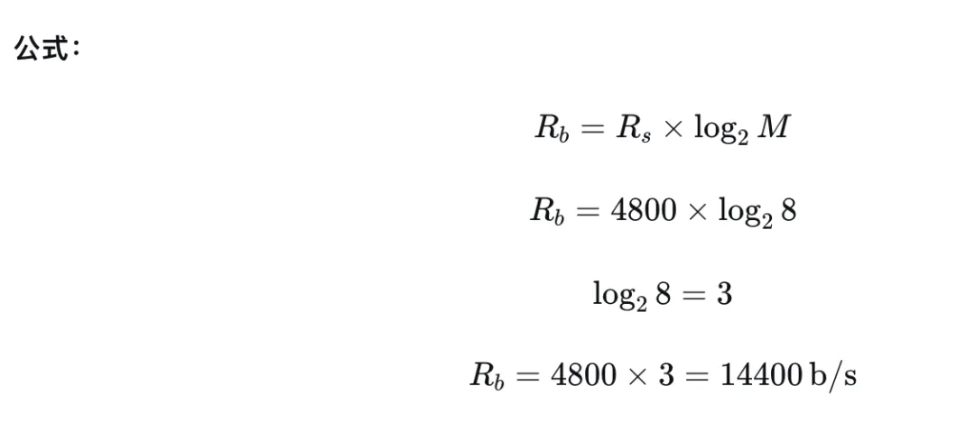
若八进制信号的信号速率是4800Baud,则信道的数据速率为()kb/s。
A.9.6
B.14.4
C.19.2
D.38.4


通过=心态+知识体系储备+坚持
大家比拼的就是:知识体系储备
学习贵在坚持!大家加油!
更多备考学习可加讲师微信交流~