2026届广东省东莞市高三一模拟考试生物学试题(3月)
一、单选题
1.细胞共性体现了细胞的统一性,表明生物具有共同祖先。关于细胞共性的叙述,正确的是()
A.都具有细胞器膜B.都能进行有丝分裂
C.都能进行有氧呼吸D.都以ATP为能量通货
2.糖化血红蛋白由血红蛋白和葡萄糖缓慢结合而成,具有不可逆的稳定结构,关于糖化血红蛋白的推测,错误的是()
A.属于内环境的组成成分B.含有C、H、O、N等元素
C.不能直接为机体提供能量D.含量可反映血糖控制效果
3.如图为人体小肠上皮细胞吸收几种物质的示意图,SGLT1、GLUT2和GLUT5为转运蛋白。下列叙述正确的是()

A.钠-钾泵具有运输和催化作用
B.葡萄糖进入该细胞不消耗能量
C.转运蛋白SGLT1不具有专一性
D.果糖进入细胞的方式为主动运输
4.下列关于高中生物教材经典实验的叙述,错误的是()
A.检测生物组织中的还原糖和鉴定粗提取的DNA均需水浴加热
B.提取绿叶中的光合色素和固定土壤中小动物标本均需要用到酒精
C.观察根尖细胞有丝分裂和低温诱导染色体加倍均需要进行染色
D.观察细胞质的流动和植物细胞的质壁分离均需借助高倍显微镜
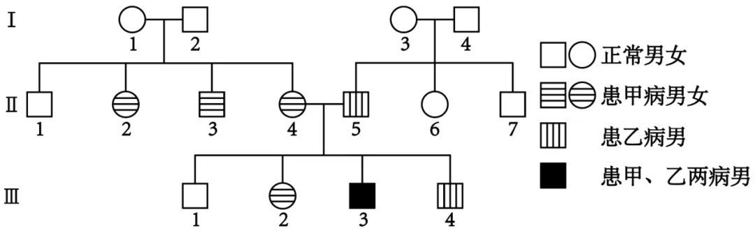
5.半乳糖血症(甲病)、杜氏肌营养不良(乙病)等已纳入国家罕见病目录,彰显了党和国家的人民至上,生命至上的理念。两种病均为单基因遗传病,其中一种是伴性遗传病。下图为某家族遗传系谱图,不考虑新的突变,下列叙述错误的是()

A.乙病为伴X染色体隐性遗传病
B.Ⅲ4乙病的致病基因来自Ⅰ1
C.Ⅱ2携带甲乙两病致病基因的概率为1/2
D.Ⅱ4和Ⅱ5再生育,若是女孩则不会患乙病
6.微生物学家艾弗里通过确凿的实验证据向遗传物质是蛋白质的观点提出挑战,有关他做的肺炎链球菌转化实验,叙述错误的是()
A.该实验是在微生物学家格里菲思的肺炎链球菌转化实验基础上进行的
B.沃森和克里克提出的DNA双螺旋结构模型为该实验提供了有力支撑
C.实验组分别加入DNA酶或其他酶利用了“减法原理”
D.该实验也说明了DNA可以在同种生物的不同个体之间转移
7.基因中指导mRNA合成的链为模板链。若某基因模板链的一段序列为5'—ATG—3',则该序列所对应的密码子是()
A.5'—TAC—3'B.5'—UAC—3'
C.5'—CAU—3'D.5'—AUG—3'
8.用适宜浓度的秋水仙素处理大花葱(2n=16),将其根尖制成临时装片,图示2个细胞分裂图像。下列叙述错误的是()

A.卡诺氏液固定细胞后,用95%酒精冲洗
B.甲细胞中部分同源染色体仍处于联会状态
C.乙细胞处于分裂后期,染色体数目加倍
D.除甲乙细胞外,视野中还可观察到二倍体细胞
9.随着国家生态保护力度持续加大,淡眉雀鹏、灰眶雀鹏、云南雀鹏整体均呈稳中有升、局部显著恢复的态势,它们是沿环境梯度分布的三种雀鹏,分别适应从炎热湿润到凉爽干燥的气候。研究人员以它们为对象,证实渐渗杂交(不同物种或种群间通过杂交实现基因交流)对物种应对全球气候变暖具有重要意义。下列叙述正确的是()
A.淡眉雀鹏和灰眶雀鹏因生殖隔离而不能基因交流
B.云南雀鹏仅能通过渐渗杂交提高其遗传多样性
C.全球变暖促使三种雀鹏的适暖基因频率逐渐提高
D.三种雀鹏的生境碎片化有利于其适应全球变暖
10.科研人员比较栖息在同一片区域的独居性鸟类戴胜和社会性鸟类斑鸫鹛对彼此存在和互相发出警报声的不同反应,结果如图。下列叙述正确的是()

A.斑鸫鹛的警报声对戴胜是一种行为信息,利于戴胜生存
B.戴胜喜爱在树上觅食,听到警报声的行为反应并不强烈
C.共处时,戴胜的觅食时长变长,在树上觅食时长也变长
D.戴胜与斑鸫鹛的关系属于互利共生,有利于二者的生存
11.从种植草莓的土壤中分离致病菌,简易流程如下:制备土壤悬液→分离→纯化→鉴定。下列叙述正确的是()
A.采集的土壤样品需高压蒸汽灭菌
B.纯化培养应使用液体培养基
C.配制培养基时应先灭菌再调节pH
D.根据菌落特征初步鉴定致病菌
12.利用动物体细胞核移植技术培育转基因牛的过程如图所示,下列叙述错误的是()

A.卵母细胞去核应在其减数分裂Ⅱ中期进行
B.要对牛乙和牛丙注射激素进行同期发情处理
C.要对牛乙和牛丙进行免疫检查,以防止发生免疫排斥反应
D.可用蛋白酶合成抑制剂激活重构胚,使其完成细胞分裂和发育过程
13.稻田水土界面之间的微生物形成微生物聚集体,研究人员研究了部分金属离子对此微生物聚集体酸性磷酸单酯酶(ACPase)活性的影响,实验结果见下表。下列叙述错误的是()
金属离子 | 不同离子浓度(mmol/L)下ACPase相对活性(%) | ||||
0 | 0.1 | 0.25 | 0.5 | 1.0 | |
K+ | 100 | 102.45 | 101.51 | 103.42 | 102.49 |
Mg2+ | 100 | 116.05 | 118.63 | 144.38 | 154.38 |
Cu2+ | 100 | 79.21 | 73.47 | 59.96 | 1.08 |
Co2+ | 100 | 125.27 | 86.36 | 55.23 | 12.99 |
A.Mg2+在0~1.0mmol/L范围内显著提高了ACPase的活性
B.不同金属离子对ACPase的作用因离子的种类和浓度而不同
C.1.0mmol/LCu2+促使ACPase降低活化能的作用最显著
D.合理施肥可减轻某些金属离子对土壤微生物的抑制作用
14.当受到食草动物攻击时,哨刺金合欢树会分泌蜜汁吸引蚂蚁巡逻,蚂蚁的叮咬可逼退食草动物。科研人员发现三种蚂蚁Cm、Cn和Tp,他们采取不同的生存策略占领哨刺金合欢树,研究数据见以下图表。下列叙述错误的是()

蚂蚁种类相关特征 | Cm | Cn | Tp |
蜜腺啃食率 | 33% | 48% | 90% |
芽啃食率 | 0 | 97% | 0 |
顶端优势指数 | 40% | 30% | 43% |
A.侵占树的蚂蚁种类与哨刺金合欢树高度有一定的对应关系
B.三种蚂蚁中Cm的整体占领比例最高,说明其竞争能力最强
C.Cn大量啃食芽,增加顶端优势,减少邻近树上蚂蚁入侵
D.Tp大量啃食蜜腺,会减少合欢树对其它蚂蚁的吸引力
15.菊花是一种典型的短日照植物,科研人员发现GAST1蛋白在赤霉素(GA)和Ca2+调控菊花开花过程中发挥关键作用,其机制如图。下列叙述错误的是()

A.长日照条件下形成CAM7-GAI复合体从而抑制GAST1基因表达
B.短日照条件下GA的合成存在正反馈调节,会导致GA大量积累
C.GA和Ca2+在调控GAST1基因表达方面存在协同作用
D.与长日照相比,短日照条件下FTL1基因的表达量更高
16.充足的睡眠有利于青少年的身心健康,机体夜间睡眠时“觉醒-睡眠-觉醒-睡眠……”会规律交替出现,据研究与促睡眠因子(PGD2)水平相关。长期睡眠不足可引发PGD2在脑毛细血管中大量积累、肾上腺糖皮质激素过度分泌、抗病毒能力下降等,部分机制如图。VLPO神经元通过释放抑制性神经递质GABA诱发睡眠,Ⅰ为巨噬细胞,细胞因子IL-6和IFNA能分别促进炎症反应和抗病毒。下列叙述错误的是()

A.控制睡眠-觉醒节律的中枢位于下丘脑,其可通过交感神经促进肾上腺素分泌
B.睡眠不足时,“促睡眠”信息传至VLPO神经元时,使其细胞膜上Cl-通道开放
C.觉醒时PGD2水平升高,GABA释放增加,神经系统兴奋性下降,促进睡眠
D.长期睡眠不足能促进IL-6基因表达,抑制IFNA基因表达,易患病毒性感冒
二、实验题
17.高温胁迫是植物生长过程中常会遇到的胁迫因子,温度超过阈值水平往往使植物生长发育受到不可逆转的损伤。研究表明:2,4-表油菜素内酯(EBR)能提高植物的抗逆性,增强植物对高温环境的适应能力;丛枝菌根真菌(AMF)能保护植物免受高温等危害,从而提高寄主植物的耐热性。研究团队以四季杜鹃为材料进行了相关研究,部分实验结果如下。
处理方式 | 气孔导度μmol/(m2·s) | 蒸腾速率mmol/(m2·s) | 叶绿素含量mg/g | 光合速率μmol(m2·s) |
CK(对照) | 183.8 | 3.19 | 1.76 | 6.11 |
HS(高温) | 122.5 | 1.42 | 0.68 | 2.37 |
HS+EBR | 138.2 | 2.17 | 1.21 | 4.5 |
HS+AMF | 141.8 | 2.30 | 1.28 | 4.94 |
HS+EBR+AMF | 162.5 | 2.54 | 1.43 | 5.44 |
回答下列问题:
(1)请根据以上信息,写出本实验的目的:_____________。
(2)据表分析,EBR能增强四季杜鹃耐高温能力的原因可能是增加了四季杜鹃的_____,使光反应提供给暗反应的能源物质增加;EBR还能增大四季杜鹃的气孔导度,促进______增强暗反应,进而提高光合速率。
(3)据表分析,EBR和AMF在四季杜鹃耐受高温胁迫方面起协同作用,理由是______________。
(4)研究表明:EBR还能影响植物体内多种激素的平衡。ABA(脱落酸)是植物耐受高温胁迫的重要激素,据题推测:除CK(对照)外,处理方式是____时ABA含量最低,理由是_____________。
18.绿壳蛋鸡以绿壳鸡蛋和优质鸡肉为特色,鸡的胫色(腿的颜色)能帮助人们提前快捷选出母鸡和公鸡,提高饲养精准度。由黑色素细胞合成的黑色素经积累使鸡胫部呈深色。为探究胫色遗传规律和胫色鉴别雌雄的可行性,选择多只绿壳蛋鸡设计多组杂交实验,对子一代个体的胫色进行跟踪观察,部分实验结果如下。
组合 | 亲本组合 | 深色胫数量/只 | 浅色胫数量/只 | 总计/只 | ||
公鸡 | 母鸡 | 公鸡 | 母鸡 | |||
A | 深色胫♂×浅色胫♀ | 0 | 19 | 17 | 0 | 36 |
B | 深色胫♂×深色胫♀ | 19 | 5 | 0 | 0 | 24 |
总计 | 19 | 24 | 17 | 0 | 60 |
回答下列问题:
(1)以Id、id表示控制鸡胫色的基因,根据实验结果可知,Id/id基因位于______染色体上,______是显性性状。若A组合的F1自由交配,则F2的公鸡中出现浅色胫的比例为______。
(2)根据基因的分离定律,B组合的子代深色胫♂:深色胫♀的理论值为______,但本实验中的F1深色胫♂:深色胫♀=19:5,出现该性状分离比的原因可能是:_________。
(3)Id、id基因的功能相同,但表达量不同。研究人员测定了Id/id基因的启动子活性(图a);利用转基因技术构建id基因高表达的黑色素细胞,测定其细胞凋亡率(图b)。根据实验结果,推测浅色胫形成的原因是:__________________。

(4)研究发现,鸡胫色除受基因控制外,还受饲料中的叶黄素等环境因素影响,这说明生物的性状是______共同作用的结果。
19.甲状腺功能亢进症简称甲亢,毒性弥漫性甲状腺肿(GD)是最常见的甲亢类型。A亚单位(TSHR-A)是促甲状腺激素受体(TSHR)的一部分,若A亚单位脱落,TSHR完整性被破坏,独立的A亚单位片段会作为自身抗原刺激机体产生抗体(TRAb),引起甲亢。为研究复方甲亢片(以中药联合西药甲巯咪唑配制而成)的功效,某研究团队以正常鼠和GD模型鼠为研究对象,进行了相关实验,实验过程及结果见下表和下图。
组别 | 实验对象 | 实验处理 | 检测指标 |
甲组 | 正常鼠 | 灌胃等体积生理盐水 | 甲状腺激素、TRAb、TSHR-A |
乙组 | GD模型鼠 | 灌胃等体积生理盐水 | |
丙组 | GD模型鼠 | 灌胃X混悬液 | |
丁组 | GD模型鼠 | 灌胃等体积甲巯咪唑混悬液 |

回答下列问题:
(1)模型鼠受体TSHR除能与TSH结合,还能与____结合。制作模型鼠过程中,常用YE菌静脉注射,可推测YE细菌与_____结构相似,刺激机体产生____。分析可知GD是一种______病。
(2)丙组X的处理是灌胃______混悬液;据题分析,复方甲亢片改善GD大鼠症状的机制是______。
(3)若要研发治疗GD的新型药物,试从免疫学角度分析可考虑的研发思路是______(答出1点即可)。
三、解答题
20.抗生素残留会改变土壤pH,降低土壤微生物及磷酸酶含量,减弱有机磷转化为无机磷的过程,进而影响农作物产量与品质,危害人体健康。丛枝菌根真菌(AMF)可与植物根系形成共生体系,在获取光合产物的同时为植物提供无机盐,并能通过重塑土壤微生物群落,修复受抗生素污染的土壤。
回答下列问题:
(1)生态系统的磷循环是指磷元素在生物群落与____之间不断循环的过程,AMF属于生态系统组成成分中的______。
(2)研究表明:温带草甸草原和典型草原土壤中的AMF种类和比例不同。为研究AMF与紫花苜蓿的共生关系,选用温带草甸草原土壤(AMF1)和典型草原土壤(AMF2)作接种剂,去除AMF的土壤为对照(CK1、CK2),分别接种两种紫花苜蓿,适宜条件培养后的检测结果如下表。
接种剂 | 苜蓿品种 | 苜蓿生物量(g/盆) | 苜蓿N含量(mg/g) | 苜蓿P含量(mg/g) | 优势属中球囊霉属相对丰富度(%) |
CK(对照) | 0.16 | 24.78 | 0.74 | - | |
AMF1 | 苜蓿甲 | 0.95 | 24.47 | 2.02 | 41 |
苜蓿乙 | 0.74 | 21.57 | 1.50 | 72 | |
AMF2 | 苜蓿甲 | 0.77 | 19.83 | 1.72 | 74 |
苜蓿乙 | 0.63 | 16.50 | 1.62 | 85 |
注:因CK1、CK2数据差异小,故CK取二者均值。
据表分析,AMF可____(填“促进”或“抑制”)紫花苜蓿生长,原因是_________,AMF种类和苜蓿品种均能影响优势属中球囊霉属的相对丰富度,依据是_________。
(3)科研人员采用高温好氧堆肥技术,降低施肥后土壤中的抗生素含量,从而优化农作物生长环境,该举措利用了生态工程的____原理。请从控制污染源和污染治理的角度,再提出一条降低土壤抗生素污染的建议:_____________。
21.瓜氨酸是一种非蛋白质氨基酸,因具有显著健康功效,全球市场需求持续增长。大肠杆菌BL21产生瓜氨酸的代谢过程如图a所示,研究人员以该菌株为基础通过基因工程技术逐步构建了一株高效、无质粒、无需诱导的瓜氨酸生产菌株。

注:酶后面的英文表示控制该酶合成的基因的缩写;脯氨酸、谷氨酸和精氨酸是组成蛋白质的氨基酸,缺乏这些氨基酸会影响大肠杆菌的生命活动。
回答下列问题:
(1)基因工程的核心步骤是_________。研究人员把大肠杆菌BL21拟核DNA上的argG基因敲除,构建出CTL1菌株。配制含不同浓度精氨酸的培养液,发酵结果见下表,实验结果说明精氨酸对瓜氨酸的合成起_________作用。据图表分析,BL21菌株中未检测到瓜氨酸的两个主要原因分别是____________。
检测指标 | BL21 | CTL1+精氨酸(g/L) | ||||
CTL1+0 | CTL1+0.1 | CTL1+0.3 | CTL1+0.5 | CTL1+1.0 | ||
瓜氨酸(g/L) | 0 | 0.32 | 0.31 | 0.17 | 0.12 | 0.10 |
(2)研究人员将CTL1菌株的proB基因敲除,构建出CTL2菌株,发酵48h后检测发现CTL2菌株的瓜氨酸产量显著下降。推测出现此结果的原因是_____。据此,为减少CTL1菌株中脯氨酸对瓜氨酸产量的影响,请提出一种改造菌株的新策略______。
(3)为进一步提高瓜氨酸产量,研究人员分别敲除CTL1菌株的speC和speE基因,构建出CTL3和CTL4菌株。根据下图b的发酵结果,正确的策略是保留____基因,敲除____基因。

(4)相比目的基因在受体菌的质粒上,目的基因位于拟核DNA上有什么优势:_________(答出1点即可)。
《广东省东莞市2025-2026学年高三下学期第一次模拟考试生物学试题》参考答案
题号 | 1 | 2 | 3 | 4 | 5 | 6 | 7 | 8 | 9 | 10 |
答案 | D | A | A | D | D | B | C | B | C | C |
题号 | 11 | 12 | 13 | 14 | 15 | 16 | ||||
答案 | D | C | C | C | B | B |
1.D
【详解】A、原核细胞只有核糖体一种细胞器,而核糖体无膜结构,因此不是所有细胞都具有细胞器膜,A错误;
B、有丝分裂是真核细胞特有的分裂方式,原核细胞一般进行二分裂,高度分化的真核细胞也无法进行有丝分裂,不是所有细胞都能进行有丝分裂,B错误;
C、很多细胞只能进行无氧呼吸,比如乳酸菌、哺乳动物成熟的红细胞,因此不是所有细胞都能进行有氧呼吸,C错误;
D、ATP是所有细胞通用的直接能源物质(能量通货),这是细胞的共性,体现了细胞的统一性,D正确。
2.A
【详解】A、糖化血红蛋白位于红细胞内部,而内环境是细胞外液(包括血浆、组织液、淋巴),因此它不属于内环境的组成成分,A错误;
B、血红蛋白的主要组成元素是C、H、O、N,还含有Fe,葡萄糖的组成元素是C、H、O,因此糖化血红蛋白含有C、H、O、N等元素,B正确;
C、糖化血红蛋白是血红蛋白与葡萄糖结合的产物,其功能是反映血糖水平,不能直接为机体提供能量,C正确;
D、由于糖化血红蛋白结构稳定且不可逆,其含量能反映血糖控制效果,D正确。
3.A
【详解】A、从图中可知,钠-钾泵既可以转运Na+和K+,还能催化ATP水解为ADP和Pi,因此同时具有运输和催化作用,A正确;
B、小肠上皮细胞吸收葡萄糖是借助Na+浓度梯度驱动的主动运输,间接消耗能量,B错误;
C、所有转运蛋白都具有专一性,SGLT1只能特异性转运Na+和葡萄糖,具有专一性,C错误;
D、果糖顺浓度梯度、依赖转运蛋白GLUT5进入细胞,不消耗能量,运输方式为协助扩散,不是主动运输,D错误。
4.D
【详解】A、检测还原糖时,斐林试剂与还原糖反应需要水浴加热;鉴定粗提取的DNA时,二苯胺与DNA的显色反应也需要水浴加热,A正确;
B、提取绿叶中光合色素利用色素可溶于有机溶剂的原理,用无水乙醇(酒精)提取;固定土壤小动物标本,常用70%的酒精处理,B正确;
C、观察根尖细胞有丝分裂、低温诱导染色体加倍两个实验都需要观察染色体形态/数目,都需要用碱性染料对染色体染色,C正确;
D、观察植物细胞的质壁分离,使用低倍显微镜即可观察到明显的实验现象,不需要高倍显微镜,D错误。
5.D
【详解】A、Ⅰ1和Ⅰ2表现正常,他们的女儿Ⅱ2患甲病,所以可以判断甲病为常染色体隐性遗传病,相关基因用A、a表示,已知至少一种病是伴性遗传病,且甲病为常染色体隐性遗传病,所以乙病为伴性遗传病,Ⅰ3和Ⅰ4表现正常,他们的儿子Ⅱ5患乙病,说明乙病为伴X染色体隐性遗传病,相关基因用B、b表示,A正确;
B、Ⅲ4患乙病,其致病基因来自Ⅱ4,由于Ⅰ2男性正常,基因型为XBY,所以致病基因只能来自Ⅰ1(XBXb),B正确;
C、Ⅱ2患甲病携带甲病致病基因,据B项可知Ⅰ1(XBXb)和Ⅰ2(XBY),所以Ⅱ2为XBXb的概率为1/2,因此Ⅱ2携带甲乙两病致病基因的概率为1/2,C正确;
D、Ⅱ4患甲病,不患乙病,且有患乙病的儿子,所以Ⅱ4的基因型为aaXBXb,Ⅱ5患乙病,不患甲病,且有患甲病的女儿和儿子,所以Ⅱ5的基因型为AaXbY,Ⅱ4和Ⅱ5再生一个女孩可能患乙病,D错误。
6.B
【详解】A、艾弗里实验是在格里菲思体内转化实验(发现转化因子)的基础上,进一步体外提纯、鉴定转化因子,探究其化学本质,A正确;
B、艾弗里的肺炎链球菌体外转化实验早于沃森和克里克提出DNA双螺旋结构模型;是艾弗里实验证明DNA 是遗传物质,为后续DNA结构研究铺垫,而非反过来由双螺旋模型支撑该实验,B错误;
C、加入DNA酶水解DNA、加入其他酶分解其他物质,属于去除某一种物质观察转化是否发生,利用了“减法原理”,C正确;
D、R型菌和S型菌为同种肺炎链球菌不同菌株,实验中S型菌DNA转移到R型菌并使其转化,证明DNA可在同种生物不同个体间转移,D正确。
7.C
【详解】若模板链的一段序列为5'—ATG—3',转录以DNA模板链为模板,按照碱基互补配对原则形成RNA,因此mRNA碱基序列为5'—CAU—3',密码子是指mRNA上决定一个氨基酸的三个相邻碱基,因此该序列所对应的密码子是5'—CAU—3',C正确,ABD错误。
8.B
【详解】A、卡诺氏液固定细胞形态后,需要用体积分数为95%的酒精冲洗2次,去除残留的固定液,A正确;
B、根尖细胞仅进行有丝分裂,减数分裂发生在生殖器官,因此根尖细胞中不会出现同源染色体联会的现象,B错误;
C、图乙中细胞的着丝粒分裂,染色体数目加倍,姐妹染色单体分开成为两条子染色体,分别向细胞两极移动,符合有丝分裂后期的特征,C正确;
D、秋水仙素处理根尖细胞时,并不是所有的细胞都能被成功诱导染色体加倍,因此视野中除了染色体加倍的细胞,还可以观察到正常的二倍体细胞,D正确。
9.C
【详解】A、题干明确指出渐渗杂交是不同物种间通过杂交实现基因交流,说明不同物种即使存在生殖隔离,也可通过渐渗杂交发生基因交流,并非完全不能基因交流,A错误;
B、基因突变、基因重组等可遗传变异都能提高种群遗传多样性,并非仅能通过渐渗杂交提高,B错误;
C、全球变暖的环境下,自然选择会定向保留适应温暖气候的个体,使三种雀鹏的适暖基因频率逐渐提高,符合自然选择对基因频率的改变规律,C正确;
D、生境碎片化会阻碍种群间、物种间的基因交流(包括渐渗杂交),降低种群遗传多样性,不利于物种适应全球变暖的环境变化,D错误。
10.C
【详解】A、斑鸫鹛的警报声对戴胜是一种物理信息,从右侧图可知,戴胜听到警报声后大多选择逃走躲藏,不利于戴胜的生存,A错误;
B、从左侧图可知,戴胜在独处时,树上觅食时间占总觅食时间比例接近 100%,说明它偏好树上觅食;但从右侧图可知,戴胜听到警报声后逃走躲藏比例极高,行为反应非常强烈,B错误;
C、从左侧图可知: 戴胜每天觅食时间占比:独处时约 0.3,共处时约 0.6 → 觅食时长变长 戴胜树上觅食时间占总觅食时间比例:独处时约 0.95,共处时约 0.7 → 虽然占比略有下降,但总觅食时间基数变大,因此树上觅食的绝对时长也变长,C正确;
D、互利共生是指两种生物相互依赖、彼此有利,分开后一方或双方无法生存。而戴胜和斑鸫鹛只是栖息在同一片区域的不同物种,彼此的警报声只是一种信息传递,并非互利共生关系,D错误。
故选C。
11.D
【详解】A、本实验目的是分离土壤中的致病菌,若对土壤样品高压蒸汽灭菌,会杀死所有目的菌,无法完成分离,A错误;
B、纯化培养需要获得单菌落,必须使用固体培养基;液体培养基无法分离得到单菌落,一般用于扩大培养,B错误;
C、配制培养基的正确流程是:计算→称量→溶化→调节pH→灭菌,若先灭菌再调pH,调pH过程会重新引入杂菌,C错误;
D、不同种类微生物的菌落特征(形状、大小、颜色、隆起程度等)不同,可根据菌落特征初步鉴定致病菌,D正确。
12.C
【详解】A、体细胞核移植中,用作受体的卵母细胞需要培养到减数分裂Ⅱ中期,此时卵母细胞细胞质具备支持发育全能性的物质,A正确;
B、胚胎移植前需要对供体(牛乙)和受体(牛丙)注射性激素进行同期发情处理,保证二者生殖器官的生理状态同步,利于胚胎着床,B正确;
C、受体子宫对外来移植的胚胎基本不发生免疫排斥反应,因此不需要进行免疫检查来预防免疫排斥,C错误;
D、得到重构胚后,可使用蛋白酶合成抑制剂等化学方法激活重构胚,使其完成细胞分裂和发育进程,D正确。
13.C
【详解】A、由表格数据可知,0~1.0mmol/L范围内,Mg²+处理组的ACPase相对活性从100%升高至154.38%,显著提升了ACPase的活性,A正确;
B、K+对ACPase活性影响极小,Mg²+随浓度升高持续提升酶活性,Cu²+随浓度升高显著抑制酶活性,Co²+低浓度提升酶活性、高浓度抑制酶活性,说明不同金属离子对ACPase的作用随离子种类、浓度发生变化,B正确;
C、1.0mmol/LCu²+处理下ACPase相对活性仅为1.08%,酶活性极低,降低化学反应活化能的作用极弱,并非作用最显著,C错误;
D、合理施肥可调整土壤中金属离子的种类和浓度,补充Mg²+等对酶有激活作用的离子,减轻Cu²+等对微生物酶活性的抑制作用,D正确。
14.C
【详解】A、从曲线图可以看出,不同株高的哨刺金合欢,三种蚂蚁的占领比例差异明显,低植株更偏向Tp、Cn,高植株更偏向Cm,说明侵占树的蚂蚁种类与哨刺金合欢树高度确实存在对应关系,A正确;
B、统计不同株高的占领比例,Cm的占领比例随植株高度升高而升高,整体总和远高于另外两种蚂蚁,占领比例高反映其在生存竞争中更占优势,竞争能力更强,B正确;
C、根据表格,Cn的芽啃食率为97%,但其顶端优势指数仅为30%,远低于Cm(40%)和Tp(43%),说明Cn大量啃食芽后降低了顶端优势,C错误;
D、题干说明哨刺金合欢分泌蜜汁吸引蚂蚁,表格显示Tp的蜜腺啃食率高达90%,大量蜜腺被啃食后,蜜汁分泌减少,会降低合欢树对其他蚂蚁的吸引力,D正确。
15.B
【详解】A、长日照条件下,根据图示机制,CAM7与GAI结合形成复合体,该复合体直接结合到GAST1基因的启动子区域,从而抑制GAST1基因的表达。此过程符合图示信息,A正确;
B、短日照条件下,GA会促进自身合成酶的表达,理论上可能存在正反馈调节。但题目中仅提到“GA的合成存在正反馈调节”,并未直接说明“会导致GA大量积累”。正反馈调节是促进合成,但积累量还受其他因素(如分解途径)影响,图示未明确支持“大量积累”,B错误;
C、短日照条件下,GA通过促进GID1与GAI结合,解除GAI对GAST1的抑制:同时Ca2+通过激活CAM7的磷酸化,进一步增强GAST1的表达。两者共同作用提高GAST1基因表达,属于协同作用,C正确;
D、短日照促进菊花开花,而FTL1基因是开花相关基因(通常促进开花)。短日照下GAST1表达增强,间接或直接促进FTL1表达,故短日照下FTL1表达量更高,D正确。
16.B
【详解】A、下丘脑是调节生物节律、控制内脏活动的中枢,同时可通过交感神经支配肾上腺,促进肾上腺素分泌,A正确;
B、VLPO神经元需要兴奋后才能释放抑制性递质GABA诱发睡眠:神经元兴奋时是Na+通道开放、Na+内流;若细胞膜上Cl−通道开放,Cl−内流会抑制VLPO神经元兴奋,使其无法释放GABA,不能完成促睡眠过程,B错误;
C、PGD2是促睡眠因子,觉醒过程中PGD2水平逐渐升高,促进VLPO释放GABA增加,GABA作为抑制性递质使神经系统兴奋性下降,最终促进睡眠,C正确;
D、由题干和图示可知,长期睡眠不足会使PGD2大量积累,促进巨噬细胞IL−6基因表达,同时抑制抗病毒的IFNA基因表达,最终导致抗病毒能力下降,易患病毒性感冒,D正确。
17.(1)探究高温胁迫下EBR(2,4-表油菜素内酯)和AMF(丛枝菌根真菌)对四季杜鹃生长发育的影响
(2)叶绿素含量二氧化碳的吸收
(3)EBR和AMF均能提高高温胁迫下四季杜鹃的光合速率(光反应和暗反应),且两者共同作用下四季杜鹃光合速率更大,耐高温胁迫能力更强
(4)HS+EBR+AMF高水平的ABA会诱导气孔关闭,除CK外,HS+EBR+AMF处理,四季杜鹃的气孔导度最大,蒸腾速率最高
【详解】(1)根据实验设计中控制的变量可知,本实验的目的是探究高温胁迫下EBR(2,4-表油菜素内酯)和AMF(丛枝菌根真菌)对四季杜鹃生长发育的影响。或探究EBR(2,4-表油菜素内酯)和AMF(丛枝菌根真菌)对高温胁迫的缓解作用。
(2)据表可知,EBR能增强四季杜鹃耐高温能力,主要表现在气孔导度增大,叶绿素含量增加,因而可以缓解高温胁迫对植物的影响,即EBR能增加四季杜鹃的叶绿素含量,使光反应提供给暗反应的NADPH和ATP增加,因而净光合速率提升;EBR还能增大四季杜鹃的气孔导度,促进二氧化碳的吸收增强暗反应,进而提高光合速率。
(3)据表数据可知,EBR和AMF均能提高高温胁迫下四季杜鹃的光合速率(光反应和暗反应),且两者共同作用下四季杜鹃光合速率更大,耐高温胁迫能力更强,因而可以得出的结论是EBR和AMF在四季杜鹃耐受高温胁迫方面起协同作用。
(4)研究表明:EBR还能影响植物体内多种激素的平衡。ABA(脱落酸)是植物耐受高温胁迫的重要激素,由于EBR+AMF在缓解高温胁迫过程中表现为协同作用,因而表现为除CK外,HS+EBR+AMF处理组的气孔导度最大,蒸腾速率最高,又知高水平的ABA会诱导气孔关闭,可见,除CK(对照)外,HS+EBR+AMF组ABA含量最低。
18.(1)Z浅色胫1/2
(2)1:1样本数量较少造成数据偏差
(3)与id基因相比,Id基因启动子活性增强,Id基因高表达促进黑色素细胞凋亡,黑色素含量减少,胫部颜色变浅
(4)基因与环境
【详解】(1)根据A组合“深色胫♂×浅色胫♀”后代中母鸡为深色胫,公鸡为浅色胫,且比例为1:1,与性别相关联,可判断Id/id基因位于Z染色体上,B组合“深色胫♂×深色胫♀”后代中都为深色胫,说明亲本是纯合子,再结合杂交组合A可判断浅色胫是显性性状。A组合中,亲本深色胫♂基因型为ZidZid,浅色胫♀基因型为ZIdW,F1基因型为ZIdZid(公鸡)和ZidW(母鸡),F1自由交配,F2中公鸡基因型为ZIdZid、ZidZid,其中出现浅色胫(ZIdZid)的比例为1/2。
(2)根据基因的分离定律,B组合亲本基因型为ZidZid(深色胫♂)和ZidW(深色胫♀),子代深色胫♂(ZidZid):深色胫♀(ZidW)的理论值为1:1,但本实验中F1深色胫♂:深色胫♀=19:5,出现该性状分离比的原因可能是样本数量较少造成数据偏差。
(3)由图a可知,Id基因启动子活性高于id基因启动子活性,由图b可知,id基因高表达的黑色素细胞凋亡率高于对照组,所以推测浅色胫形成的原因是与id基因相比,Id基因启动子活性增强,Id基因高表达促进黑色素细胞凋亡,黑色素含量减少,胫部颜色变浅。
(4)鸡胫色除受基因控制外,还受饲料中的叶黄素等环境因素影响,这说明生物的性状是基因与环境共同作用的结果。
19.(1)TRAbTSHR(或TSHR-A)抗体自身免疫
(2)等体积的复方甲亢片相对减少TSHR-A亚单位的脱落,保护TSHR的完整性,减少TRAb的产生,进而降低甲状腺激素水平
(3)研发能抑制TSHR-A亚单位脱落的药物;研发能清除TSHR-A亚单位脱落片段的药物;研发能阻断TRAb与TSHR结合的单克隆抗体
【详解】(1)由题干可知,GD是自身抗原刺激机体产生了针对TSHR的抗体TRAb,因此TSHR除结合TSH外,还可以结合TRAb;注射YE细菌就能诱导产生GD,说明YE菌的结构和自身抗原TSHR-A(促甲状腺激素受体A亚单位)相似,可刺激机体产生TRAb抗体;分析题意可知,GD是免疫系统攻击自身组织引起的疾病,而免疫系统攻击自身正常组织引发的疾病属于自身免疫病。
(2)本实验目的是研究复方甲亢片的功效,实验分组中,丁组是甲巯咪唑处理,因此丙组X应为等体积复方甲亢片混悬液,遵循单一变量原则;结合柱形图结果可知,GD模型鼠丙组的细胞TSHR-A含量高于乙、丁组,说明A亚单位脱落更少,TRAb和甲状腺激素含量均低于乙、丁组,因此作用机制为:复方甲亢片相对减少TSHR-A亚单位的脱落,保护TSHR的完整性,减少TRAb的产生,进而降低甲状腺激素水平,改善GD甲亢症状。
(3)从免疫学角度,可针对GD的发病机理设计药物,具体可进行如下操作:研发能抑制TSHR-A亚单位脱落的药物;研发能清除TSHR-A亚单位脱落片段的药物;研发能阻断TRAb与TSHR结合的单克隆抗体。
20.(1)非生物环境消费者
(2)促进AMF可促进苜蓿吸收P,使其生物量增加当AMF相同而苜蓿品种不同时,以及当AMF不同而苜蓿品种相同时,球囊霉属优势属相对丰富度均不同
(3)循环(自生)减少抗生素的滥用、接种特定高效降解菌、生物炭吸附、抑制抗生素抗性基因传播等(合理即可)
【详解】(1)物质循环是指组成生物体的元素在生物群落与非生物环境之间不断循环,因此磷循环发生在生物群落与非生物环境之间。丛枝菌根真菌(AMF)不能进行光合作用自养,需要从植物根系获取现成的光合产物(有机物),属于生态系统的消费者。
(2)对比表格数据可知:和对照组相比,所有接种AMF的紫花苜蓿,生物量、磷含量都远高于对照组,因此AMF可以促进紫花苜蓿生长,原因是AMF可促进苜蓿吸收P,促进有机物积累,提升生物量。分析球囊霉属相对丰富度可知:同一AMF接种剂处理不同品种苜蓿,丰富度不同;同一品种苜蓿接种不同AMF,丰富度也不同,因此AMF种类和苜蓿品种都能影响球囊霉属相对丰富度。
(3)高温好氧堆肥是利用微生物分解土壤中的抗生素,实现物质的循环利用,利用了生态工程的循环(自生)原理。从控制污染源角度,可通过规范抗生素使用、生物炭吸附、对含抗生素的废弃物无害化处理减少抗生素进入土壤;从污染治理角度,可通过接种高效降解抗生素的微生物、植物修复、抑制抗生素抗性基因传播等方式治理土壤抗生素污染。
21.(1)构建基因表达载体抑制精氨酸的合成以瓜氨酸为底物,导致瓜氨酸无法积累;精氨酸会抑制瓜氨酸的合成,精氨酸浓度越高抑制作用越强
(2)CTL2菌株因无法合成脯氨酸而生长增殖受到抑制,削弱了瓜氨酸的合成将PutP基因敲除
(3)speCspeE
(4)能稳定遗传,传代过程中不易丢失
【详解】(1)基因表达载体的构建是基因工程的第二步,也是基因工程的核心步骤;根据表格结果,敲除argG后,添加的精氨酸浓度越高,瓜氨酸产量越低,说明精氨酸对瓜氨酸合成起抑制作用;BL21有完整的argG基因,其表达的酶会催化瓜氨酸转化为精氨酸,瓜氨酸无法积累;同时细胞内合成的精氨酸进一步抑制瓜氨酸合成,精氨酸浓度越高抑制作用越强,因此BL21检测不到瓜氨酸。
(2)proB编码谷氨酸激酶,催化谷氨酸合成脯氨酸,而脯氨酸是大肠杆菌必需的氨基酸,敲除proB后大肠杆菌CTL2菌株因无法合成脯氨酸而生长增殖受到抑制,削弱了瓜氨酸的合成,因此瓜氨酸产量下降;若要减少CTL1菌株中脯氨酸对瓜氨酸产量的影响,可将PutP基因敲除,既满足大肠杆菌对脯氨酸的需求,又能让更多谷氨酸流向瓜氨酸合成途径。
(3)根据题意:敲除speC得到CTL3,敲除speE得到CTL4。从柱状图可知,敲除speE的CTL4瓜氨酸产量最高,敲除speC的CTL3瓜氨酸产量降低,因此正确策略是保留speC,敲除speE。
(4)质粒是游离在拟核外的DNA,细胞分裂时容易丢失,而目的基因整合到拟核DNA后,可以随拟核DNA同步复制,能稳定遗传,传代过程中不易丢失。