高
考




参考答案
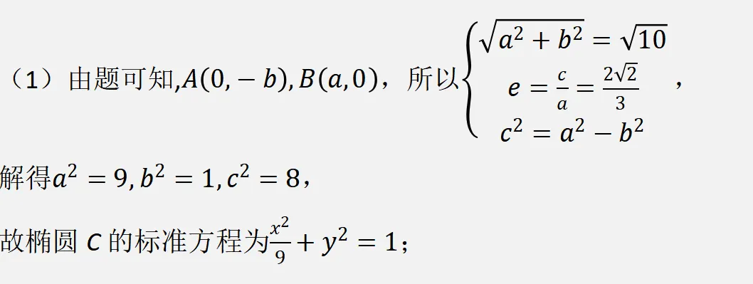
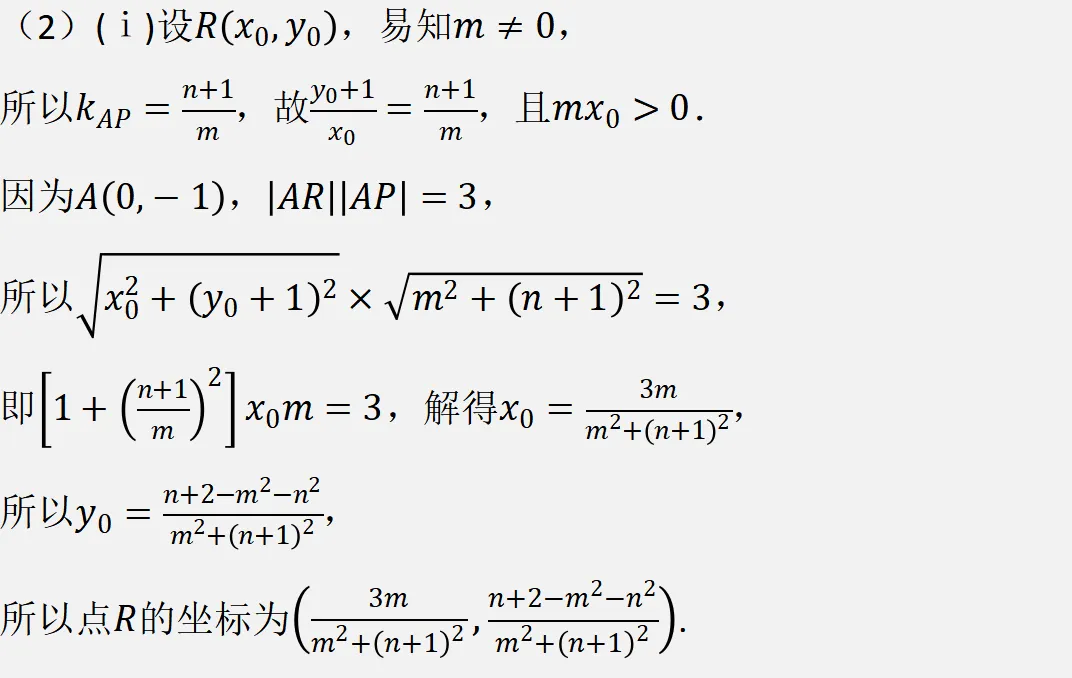
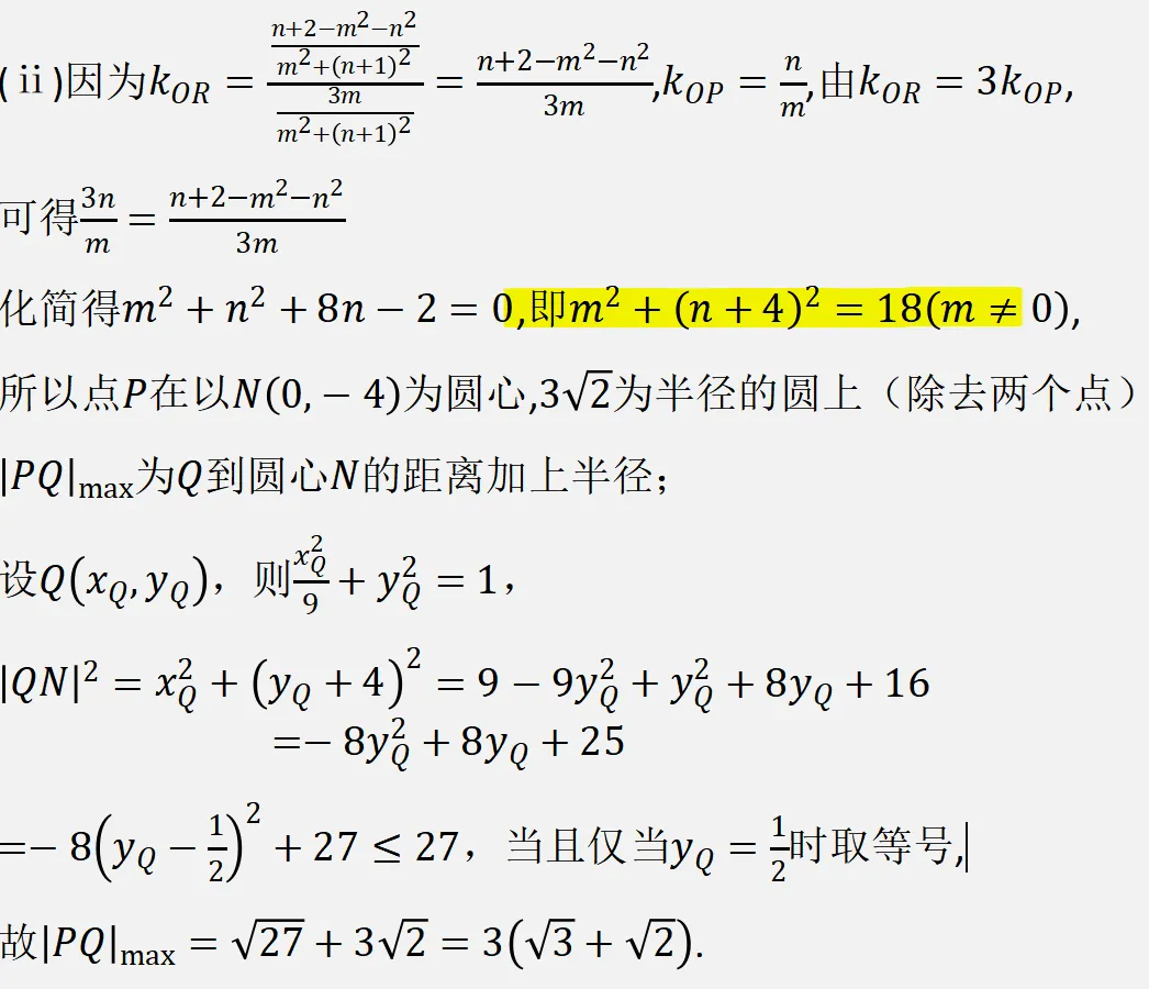
【详解】



考点/解法分析
★题目选自(2025年全国1卷T18-圆锥曲线)
(1)根据题意列出等式,结合a²=b²+c²求出a,b,c 即可;
(2)注意数形结合,根据斜率关系化简关于m,n的等量关系,可得到点P的轨迹为圆(除去两点),再根据点与圆的最值求法得出结论;
温馨提示:本题计算量较大,未知量较多,计算需认真仔细。
文章来源:
四季读书网
版权声明:本文内容由互联网用户自发贡献,该文观点仅代表作者本人。本站仅提供信息存储空间服务,不拥有所有权,不承担相关法律责任。如发现本站有涉嫌抄袭侵权/违法违规的内容, 请发送邮件至23467321@qq.com举报,一经查实,本站将立刻删除;如已特别标注为本站原创文章的,转载时请以链接形式注明文章出处,谢谢!