26年3月哈三中高三数学3月份二模测试试卷+答案(免费下载)

四季读书网 12 0
26年3月哈三中高三数学3月份二模测试试卷+答案(免费下载)
26年3月哈三中高三数学3月份二模测试试卷+答案(免费下载) 第1张
26年3月哈三中高三数学3月份二模测试试卷+答案(免费下载) 第2张
26年3月哈三中高三数学3月份二模测试试卷+答案(免费下载) 第3张
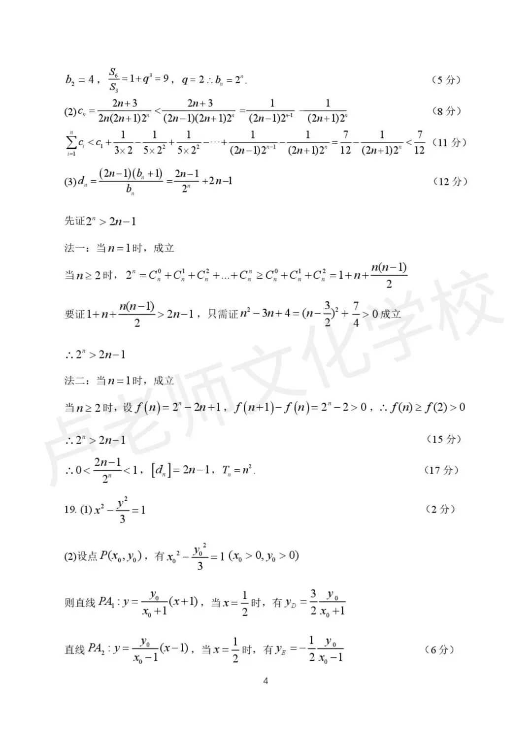
26年3月哈三中高三数学3月份二模测试试卷+答案(免费下载) 第4张
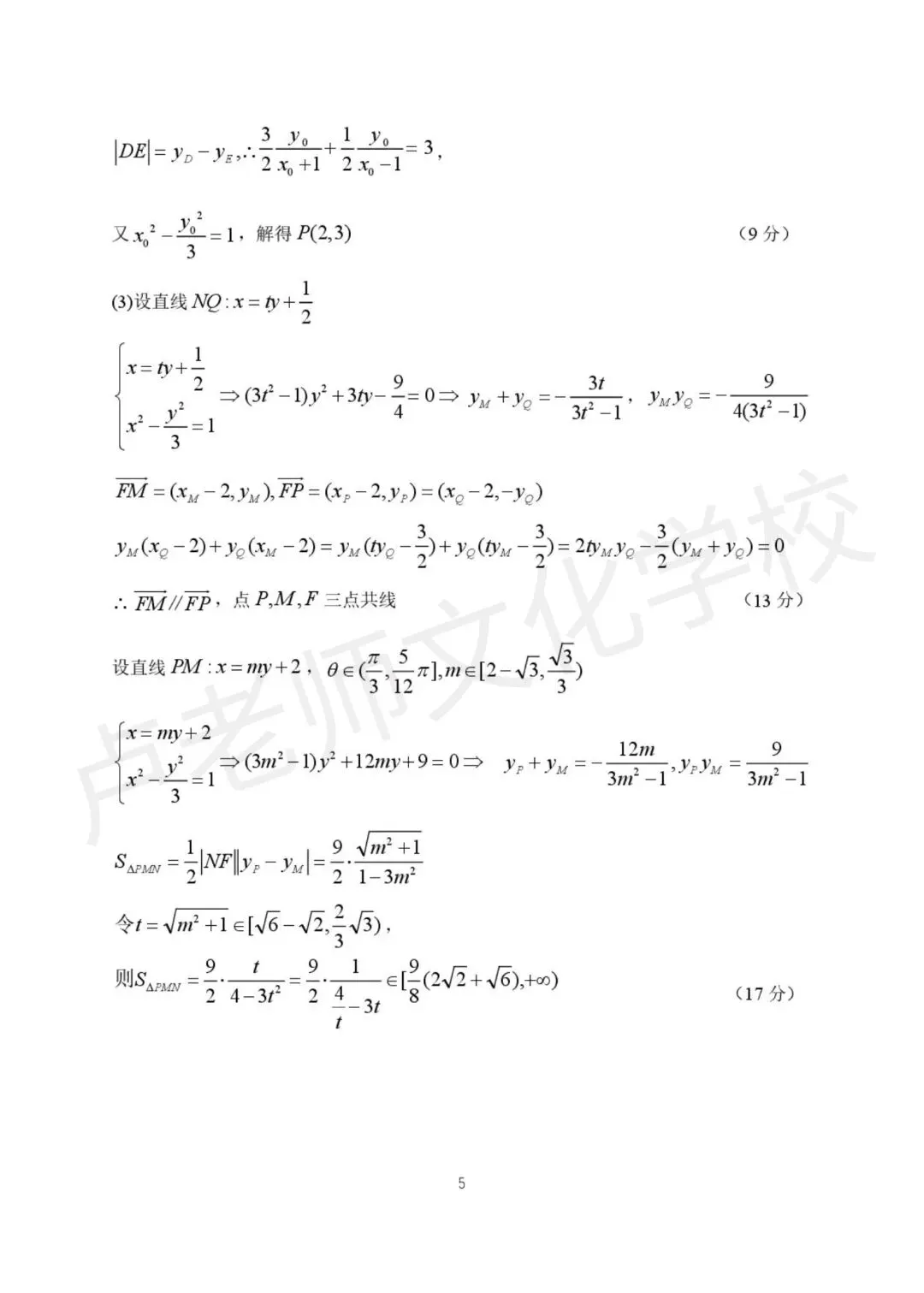
26年3月哈三中高三数学3月份二模测试试卷+答案(免费下载) 第5张
26年3月哈三中高三数学3月份二模测试试卷+答案(免费下载) 第6张
26年3月哈三中高三数学3月份二模测试试卷+答案(免费下载) 第7张
26年3月哈三中高三数学3月份二模测试试卷+答案(免费下载) 第8张
26年3月哈三中高三数学3月份二模测试试卷+答案(免费下载) 第9张
26年3月哈三中高三数学3月份二模测试试卷+答案(免费下载) 第10张
26年3月哈三中高三数学3月份二模测试试卷+答案(免费下载) 第11张

抱歉,评论功能暂时关闭!