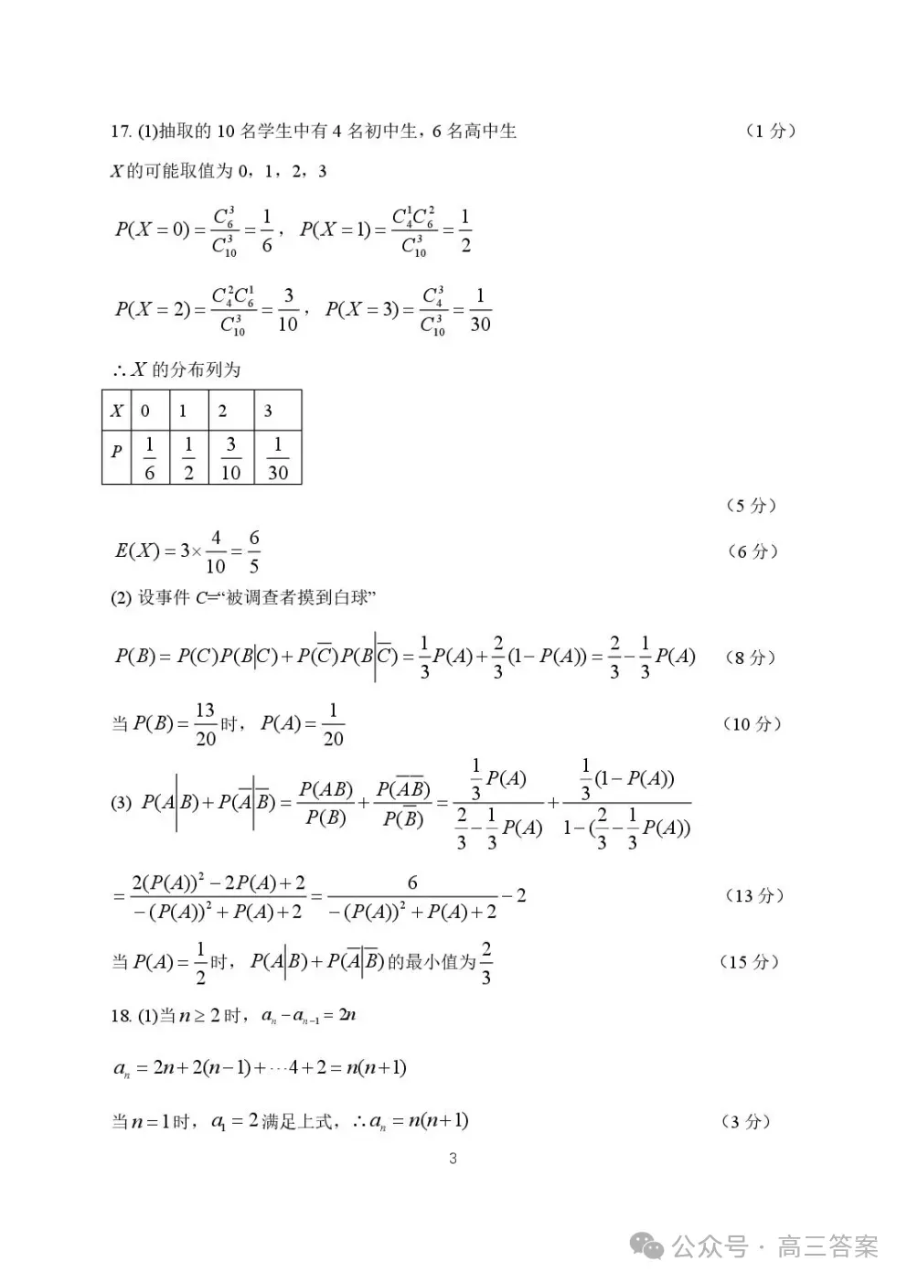
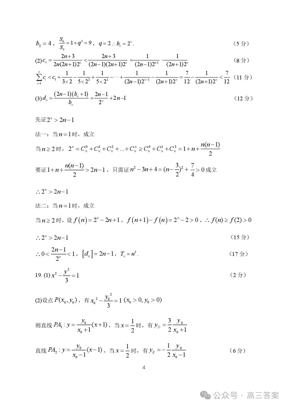
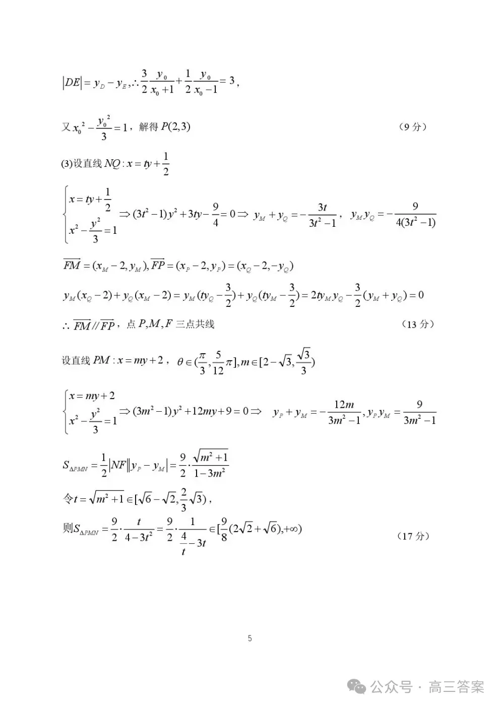
哈三中二模链接: https://pan.baidu.com/s/1TB-BiGTDPnzUzD47QVgxFQ?pwd=6666


























文章来源:
四季读书网
版权声明:本文内容由互联网用户自发贡献,该文观点仅代表作者本人。本站仅提供信息存储空间服务,不拥有所有权,不承担相关法律责任。如发现本站有涉嫌抄袭侵权/违法违规的内容, 请发送邮件至23467321@qq.com举报,一经查实,本站将立刻删除;如已特别标注为本站原创文章的,转载时请以链接形式注明文章出处,谢谢!
哈三中二模链接: https://pan.baidu.com/s/1TB-BiGTDPnzUzD47QVgxFQ?pwd=6666


























上一个中考一模
抱歉,评论功能暂时关闭!