
中招模拟试卷








参考答案

(试卷命题人:赵鑫欣 审题人:邱娜)
一、填空题
1.音色 6.38(或6.39,估读到分度值的下一位)
2.比热容 超声 扩散
3.摩擦起电 小 8.6×107
4.10 不变
5.6 800
6.东 不能
二、选择题
三、作图题

四、实验探究题
17.⑴切割磁感线 能
⑵BC
⑶话筒
18.⑴轻压 不是 (“轻压”参考自2025年解析与检测P.35 例2)
⑵变大 拦河坝设计成下宽上窄
⑶能
⑷1.1×103 小于
19. ⑴

⑵右
⑶滑动变阻器断路
⑷滑动变阻器 4
当电阻一定时,通过导体的电流与导体两端的电压成正比
换用阻值不同的电阻,多次实验,寻找普遍规律
⑸B
五、综合应用题
20.解
⑴小于
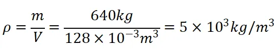
⑵货箱整体的平均密度:

⑶货箱的重力:


⑷由图可知,2根绳子提升货箱,s=2h


21.解
⑴变大 变大
⑵制冷空调正常工作时的电流

⑶控制电路的总电阻

热敏电阻R=R总-R0=600Ω-200Ω=400Ω
由图像可知启动空调电路时的温度是20℃
⑷减小控制电路的电源电压或增大R0的阻值。
文章来源:
四季读书网
版权声明:本文内容由互联网用户自发贡献,该文观点仅代表作者本人。本站仅提供信息存储空间服务,不拥有所有权,不承担相关法律责任。如发现本站有涉嫌抄袭侵权/违法违规的内容, 请发送邮件至23467321@qq.com举报,一经查实,本站将立刻删除;如已特别标注为本站原创文章的,转载时请以链接形式注明文章出处,谢谢!