Hi 我是小榜

李永乐武忠祥2027考研数学图书
看这里⬇️高数、线代讲义现货速发!淘口令:¥ HU006 L4cGUKh2m0c¥(复制上边的淘口令用淘宝APP打开)
找淘宝【金榜时代图书旗舰店】客服
报暗号【真名师真满分】领优惠券
最近很多同学在评论区询问小榜:小榜你好,我想问您,老师总是说历年真题很重要,为什么真题会重要呀?题目会反复考吗?
今天这一期跟大家分享
「2026年数学一12题追根溯源」
01
为了保证内容总结的准确性,我们邀请到了一战考研数学140+目前在中国人民大学就读博士的学长为大家解答疑惑:
相信各位同学在听课的时候总会听到老师说:历年真题是最好的练习题!历年真题是最重要的题目!
那么,为什么真题会很重要?题目会反复考察吗?往年的题目会怎么改然后变成新的题目?等等等等。
在历年真题中,只有大概20分的分值会考较难的题目,其余的题目都是偏向于基础的题目。这也就是老师经常说的:基础很重要!
那么问题来了,既然基础很重要,那么会如何体现在真题当中呢?为帮助各位同学更好的备考研究生,我决定为大家追根溯源历年真题。
按照大家学习的顺序:首先我们先来看第一章会考察什么内容。第一章中,最重要、最基础的内容是:求极限以及求极限的方法。
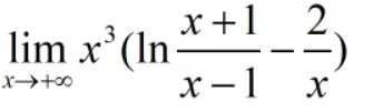
大家先来看2026年数学一的真题:

注:题目来自于2026年数学一真题
对于求极限的题目,我们首先要判断极限的类型:当x趋于0的时候,你会发现被减数和减数都是趋于∞,因此这是一道∞-∞类型的极限。
同样类型的题目在2021年数学一的17题(在这里是解答题哦)也被考察过,我们来看下面的题目:

注:题目来自于2021年数学一真题
除此之外,这种类型的题目在往年也被多次考察过,在这里就不一一举例了,大家在做真题的时候一定会遇到的。从以上两道题目可以发现:同样的考点确实会反复考察。
以求极限为例,题目的类型、解题方法都会被反复考察,但是不同的是:题目中的数字可能会发生变化,具体的求解步骤可能也会发生变化。
02
那么,接下来最主要的问题就是:这种类型的题目我们有没有学过?

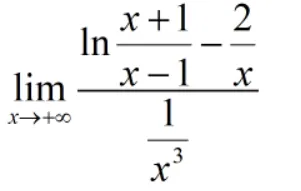
那肯定是学过的!如果大家做过李永乐老师的《660题》,那么你一定看过这种类型的问题。我们看下面的例题:

注:题目来自于李永乐《660题》
这道题目的本质就是在考察∞-∞类型的极限的运算。做这类问题的基本解题思路为:
①通分/提出无穷大量。这样做的目的是尽可能将式子化为一个等式或者将无穷大转化为无穷小。
②能洛必达就洛必达,不能洛的就采用等价代换。
我们以上述题目为例:
①在这道题目中,我们需要计算∞-∞类型的极限,大家可以发现,两个式子都有x2,但是提出来x2后并不能将等式转化为最简,那么我们考虑提出来x3:

②使用洛必达法则/等价代换。
但是计算之前,需要将式子进行变形,即把x3拿到分母上:

然后大家可以发现,分子分母上都会和1/x有关(ln中分子分母同时除以x即可),那么我们接下来进行等价代换:令t=1/x,然后接下来用洛必达即可。
到这一步,题目就完全讲解完毕了。相对于真题而言,李永乐老师书上的例题只有数字稍微简单一点,但是用到的解题方法和思路和真题是完全相同的。
所以,各位同学在听课的时候一定要学仔细哦~后续,我也会不断地为大家分享“真题溯源”,以此帮助各位同学获得更高的分数!
好了,本期的分享就到这里
同学们还想要看其他内容可以在下面留言~
📢 别只顾着刷题!你可能一直在“假努力”!
听懂≠会做!
⚠️ 做完题只对个答案?大漏特漏!
想知道你的数学复习是不是“真掌握”?
👇 戳下方看视频,让武老师教你快速自测👇
点击下方链接,可直接购买哦
⬇️

好了,本期的分享就到这里
同学们还想要看其他内容可以在下面留言~
「相关文章」



点个「赞」和「在看」
你能上岸❤️