温馨提示:每一份优质试卷文前都有下载链接,可以直接下载,只为操作简单,分享快乐
我用夸克网盘给你分享了「山西太原市2026届高三年级模拟考试(一)数学试卷.zip」,点击链接或复制整段内容,打开「夸克APP」即可获取。
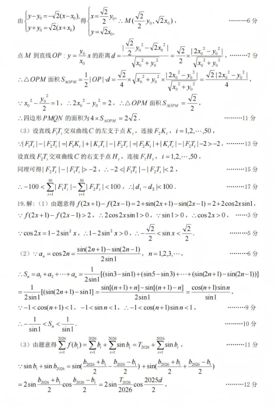
/~56583Xsv3u~:/
链接:https://pan.quark.cn/s/49217a74fc77












关于上课:在每周五晚22:00前更新完成本周课程视频以及讲义(讲义分成两个版本——空白版+课堂完整版)
关于答疑:线上答疑每周统一安排在周六晚22:00后,直到全部答疑结束。之所以这个时间点是因为我的线下课在这个时间。
关于巩固:线上课程每节课后都有巩固练习,巩固练习会同讲义一并上传,同学们课后即可进行练习打卡上传。在周六晚十点后我会一一批阅。
关于最新模拟:每个月至少有一次模拟题精选讲解课会一并更新,在当周的课程之中,需要学习的任务会偏重。
关于课程有效期:课程有效期为半年,截止到高考
关于寒假陪跑:凡购买线上课在寒假期间除去正常的课程之外,可获得寒假打卡营(寒假打卡营将于2月1日公布)
看课学习途径:线上课程指定小程序为“学途启航星”,课程支持手机平板电脑等看课方式,并且每节课都会配备字幕
课程持续时长:2026年1月17日——2026年6月1日,每周一更,寒假会增加更新次数,正式总共课程20次+每月不低于1次的模拟精选讲解
课程售价:1399元(部分地区2个小时一对一的价格或者4个小时一对一价格)
分享推荐可以直接返佣(通过小程序直接提现)
适合对象:考试分数在90--130之间的同学
拒绝对象
①只想搞花里胡哨秒杀技巧的同学
②没有毅力坚持而借口一堆堆的同学
