中考科学高频易错——一道涉及生物、物理综合的错题分析

四季读书网 8 0
中考科学高频易错——一道涉及生物、物理综合的错题分析
     马上四月临近一模,本文,我们来分析一道涉及生物、物理综合的错题分析,题目如下
中考科学高频易错——一道涉及生物、物理综合的错题分析 第1张
1、为了完成第一个空,我们先来对生态系统的部分做一个小总结
中考科学高频易错——一道涉及生物、物理综合的错题分析 第2张
从题中条件,可以得到我们在上图中的左边这一列选择,因为是深海,满足阳光很难到达,同时海水压强大,两者影响因素都存在,考虑到绿色植物都需要阳光进行光合作用合成有机物,不然无法生存,所以主要因素为阳光占主导
故第一空是:阳光
2、鱼类,属于生物,所以在上图的右边部分选择,第二个空填:消费者
另外,大家也应该对生物的分类要能够掌握,如下图
中考科学高频易错——一道涉及生物、物理综合的错题分析 第3张
除了上图,还需要对各类生物的特征非常熟悉,也是高频考点
3、考察了杠杆的知识,一般先找出杠杆五要素,然后根据平衡条件得出结论
中考科学高频易错——一道涉及生物、物理综合的错题分析 第4张
题中信息:OC是一根可以绕O转动的杆子,为杠杆,O是支点
杠杆中,主动使杠杆转动的力是动力,因为是奋斗者号要下降,所以其重力促使其转动,属于动力
力臂画法:从支点到力的作用线的距离,如图蓝色括号部分为动力臂
钢缆BA阻碍OC绕O转动,属于阻力,阻力臂如图红色虚线部分
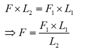
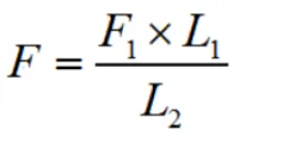
利用杠杆平衡:
中考科学高频易错——一道涉及生物、物理综合的错题分析 第5张
随着OC顺时针旋转,且奋斗者又没有浸入水中,故F1保持不变,数值为其重力大小
然后再看其力臂大小,如下所示
中考科学高频易错——一道涉及生物、物理综合的错题分析 第6张
可以发现OC旋转后,动力臂变大,阻力臂由上图的红色虚线变成蓝色虚线,长度变小
中考科学高频易错——一道涉及生物、物理综合的错题分析 第7张
F1不变、L1变大,L2变小,最终F结果变大
总结:
(1)很多学生解题纯粹是解题,为了完成任务,其实我们平时在解题的时候,要多做总结,因为知识点就那么几个,但是题目却是千变万化的,你也做不完,所以平时更加要注重知识的整合和归纳。
(2)学会联想学习法,如第一题考察非生物因素,那我们可以联想生态系统的组成,各成分的判断又需要满足什么条件等知识;第二题我们还可以联想各类脊椎动物的特征,也可以联想各无脊椎动物,及特征.....常做这样的联想,我们的知识会越来越熟练,成一个体系
(3)更多的关于中考的模块化复习,大家不妨可以下方扫码系统学习
物理重难点模块入口:
中考科学高频易错——一道涉及生物、物理综合的错题分析 第8张
化学重难模块入口:
中考科学高频易错——一道涉及生物、物理综合的错题分析 第9张
(2)如果对于中考复习,还是存在很多问题的,大家不妨也可以加我微信cby3008,我会给你一些专业的建议和指导。
(3)建立了一个免费的中考学习交流群,会不定期分享重难点题型和知识点总结归纳,下方扫码加入,码过期,上方加我微信拉进来
中考科学高频易错——一道涉及生物、物理综合的错题分析 第10张
推荐阅读文章:
中考科学高频易错——一道涉及浮力的选择错题分析
中考科学高频易错——一道涉及透镜成像实验的综合题分析
中考科学复习高频易错——一道涉及滑轮组受力分析的错题讲解

抱歉,评论功能暂时关闭!