
上海高三二模数学全卷解析|16 区真题 + 答案 + 详细步骤,备考必看!
空白电子版+ ty562795664 免费领取

宝山














左右滑动翻页

崇明












左右滑动翻页

奉贤












左右滑动翻页

虹口












左右滑动翻页

黄浦












左右滑动翻页

嘉定













左右滑动翻页

金山














左右滑动翻页

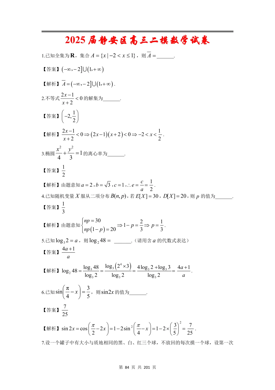
静安











左右滑动翻页

闵行













左右滑动翻页

浦东新区















左右滑动翻页

普陀














左右滑动翻页

青浦















左右滑动翻页

松江















左右滑动翻页

徐汇














左右滑动翻页

杨浦













左右滑动翻页

长宁

















左右滑动翻页
往期视频回顾
01
小奥模块专题系列(平均时长90分钟,专题梳理)
02
奥数难题赏析系列(每期1道经典题,碎片化学习)
《奥数难题赏析》--第9集定义“新”运算《奥数难题赏析》--第10集弃九法
03
经典题型刷题系列(平均时长30分钟,纯刷题)
精彩视频持续更新中!!
文章来源:
四季读书网
版权声明:本文内容由互联网用户自发贡献,该文观点仅代表作者本人。本站仅提供信息存储空间服务,不拥有所有权,不承担相关法律责任。如发现本站有涉嫌抄袭侵权/违法违规的内容, 请发送邮件至23467321@qq.com举报,一经查实,本站将立刻删除;如已特别标注为本站原创文章的,转载时请以链接形式注明文章出处,谢谢!