
2025年中考结束后,引起了天津家长的一片哗然,哗然的理由是“出题太创新了”,搞得好多考生有点茫然,不是平时练习的题目了,分数自然差强人意。
就数学而言,创新力度最大的是哪一道题?那一定是第12题,也就是选择题最后一题。
一、近7年天津中考第12题考察的知识点分布情况:
年份 | 考察内容 |
2019 | 二次函数图像与系数的关系 |
2020 | 二次函数图像与系数的关系 |
2021 | 二次函数图像与系数的关系 |
2022 | 二次函数图像与系数的关系 |
2023 | 篱笆围菜园的各种面积问题 |
2024 | 抛体运动的轨迹问题(高中物理) |
2025 | 四边形引起的动点讨论问题 |
2026 | (☆)动点题、半角模型或相似 |
从这个表可以很清楚地看出第12题在2022年之前都有极强的规律,那就是“二次函数图像与系数的关系”,但从2023年开始,出题老师开始不按常理出牌,2023、2024、2025这三年每年的题目都完全不同。
二、2026年第12题中考考查情况预测
第12题显然是区分度很大的一道题目,区分中等生和优等生的一道试金石题目,那么2026年到底该怎么考呢?如何应对呢?
首先,尽管“二次函数图像与系数的关系”逐渐淡出出题人的视野,但还是要认真练一练,最起码得做20道类似的题目吧。
其次,练一练近三年的题型,也就是“篱笆围菜园的各种面积问题”、“抛体运动的轨迹问题(高中物理)”和“四边形引起的动点讨论问题”。前两类最起码每个题型得练上30道题吧。
动点题还是要多分配点精力,也许出题老师会延续2025年的惯性,再考一道动点题可能性也是很大的,所以,无论如何都要把动点题的讨论弄清楚,特别是四边形引起的动点讨论题一定要滚瓜烂熟地掌握。动点题要是出难题能考非常难的题目,但是既然这是一道选择题,难度绝对不会太大,7分位难度就行了。
最后,要是按照近3年“题型年年皆不同”的规律来,那可就“出题老师的心思你猜你猜你猜,你怎么猜也猜不明白咯”,不同的老师肯定出不一样的题目,所以只能从大家公认的、比较重要的,而天津又没怎么考过的题型,我觉得大家应该多关注一下“半角模型”和“相似”。
【半角模型】在全等三角形的世界里,半角模型以其独特的魅力和挑战性,被誉为最难的几何模型之一。它常常出现在各种考试中的压轴题和倒数第二题,让许多学生望而却步。但对于我们考试题型特别固化的天津来说,很遗憾,还没有怎么考过半角模型,是天津考生的幸与不幸?经过2025年中考,大家也能感受到,天津中考试题也开始创新了,虽然在创新,但创新的幅度还没那么大,基本上不会把24题和25题给换成综合的半角模型。但正因为没考过,所以极有可能在第17题或选择题的后三道题中出现,因为第17题构造中位线的题目已经出得让考生和老师都审美疲劳了,该换换口味了,既然换,那么半角模型就是一个很有可能的出题方向。
出题形式就是:给你一道类似的题目,然后再给出几个结论,问你“正确的结论有几个”。

【相似三角形】该问题围绕动点在图形中运动引发三角形相似情况展开探讨。需明确动点的运动路径及速度等基本运动信息。确定三角形的固定顶点和随动点变化的顶点。相似三角形判定定理是解决此类问题的重要依据。注意对应角相等在确定相似关系时的关键作用。对应边成比例是计算相似三角形边长的核心要点。不同的相似对应情况会导致多种解题思路。分析动点运动到不同位置时三角形的形状变化。

不管怎么考,中考的知识点就那么多,每种类型的题目都要熟悉,打铁还需自身硬,增强自己的实力才是最重要的,这样我们才能做到以不变应万变。
三、相关题型的有关知识、解题方法与解题技巧
二次函数系数与图像问题
先总结一下本题用到的二次函数的哪些知识点:
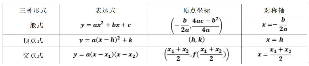
☆☆☆二次函数三种表达式:

考点一:、b、c正负的判断

考点二:抛物线与x轴交点个数问题
(1)△=b2-4ac>0时,抛物线与x轴有2个交点
(2)△=b2-4ac=0时,抛物线与x轴有1个交点
(3)△=b2-4ac<0时,抛物线与x轴没有交点
如:判断b2>4ac等同于判断b2-4ac>0,等同于判断抛物线与x轴有2个交点。
考点三:与关系式(等式/不等式)的判断,(用消元法利用对称轴的值将转化的式子判断)
例如:如果从二次函数图像中看出开口向下且对称轴为直线时,如何判断是否正确?如何判断是否正确?
分析:由于对称轴为直线x=1时,即
总结:这种方法是消元法,利用对称轴的值可以将转化为的式子判断,将二元关系式转化为只有的一元关系式进行判断。
可以记住:对称轴为直线;(可用消元法推导)
对称轴为直线.(可用消元法推导)
考点四:与关系式(等式/不等式)的判断,(用消元法利用两根之积的值将转化的式子判断)
例如:如果从二次函数图像中看出开口向下且与轴的交点横坐标分别为-1,3,如何判断是否正确?如何判断是否正确?分析:方法(1):由于根与系数的关系,与轴的交点横坐标分别为-1,3,所以,变形得,代入要判断的关系式的左边,得,所以是正确的;将代入要判断的关系式的左边,得(因为本题中开口向下),所以不正确。总结:这种方法是消元法,利用两根之积的值可以将转化为的式子判断,将二元关系式转化为只有的一元关系式进行判断。
方法(2),=0结合(即对称轴为)消元得到
注意:跟判断方法不同(见考点五)
考点五:函数特殊点的纵坐标正负问题(赋值法)
几个特殊点的表示形式要有第一联想思维:
当x=1时,,
当x=-1时,,
当x=2时,,
当x=-2时,,
当x=3时,,
当x=-3时,,
当x=m时,,
例如1:顶点为(-1,2)可以判断,当x=-1时,y=a+b-c=2,又因为对称轴的值﹣=,可得(纠正:-2a改为2a),代入=2消得.注意与判断
例如2:判断(a+c)2<b2等价于判断(a+c)2﹣b2<0即[(a+c)﹣b][(a+c)+b]<0,等价于判断(a﹣b+c)(a+b+c)<0,即判断(自变量取的函数值乘积小于0)。
例如3:判断a﹣b<m(am+b)(m≠﹣1)或判断a﹣b<am2+bm,等价于判断a﹣b+c<am2+bm+c,等价于判断(m≠﹣1),观察自变量取-1的点是不是最低点进行判断。
如果非特殊点函数值怎么办?比如:判断8a+7b+2c>0,因为左边不是特殊点函数值,可以考虑消元法,利用对称轴的值可以将转化为的式子,利用两根之积的值可以将转化为的式,这样将都转化为的式子进行判断。
考点六:函数值比较大小问题
1、判断开头方向和对称轴
2、比较x值离对称轴的远近,
开口向上二次函数有最小值,离对称轴越近函数值(y)越小。
开口向下二次函数有最大值,离对称轴越近函数值(y)越大。
考点七:函数最值问题
如下图,抛物线开口向下,对称轴为x=1,当x=1时,
y的最大值为a+b+c,
当x=m时(m≠1),y=am2+bm+c,
∴am2+bm+c <a< span>+b+c </a<>
∴am2+bm <a< span>+b </a<>
∴m(ma+b) <a< span>+b </a<>

考点八:一元二次方程根的个数问题
转化为抛物线,与直线(平行于x轴的直线)交点的个数。
如下图,当时,无实数根
当时,有两个相等的实数根
当时,有两个不相等的实数根

考点九:参数a、b、c的取值范围
消参/降参,利用已知条件将三个参数都化为一个参数,再利用已知参数的范围求解
消参方法:1如对称轴已知,利用对称轴公式,把a、b都转换为一个。
2代入函数经过的已知点可以消掉一个参数。
考点十:韦达定理(根与系数的关系)
韦达定理:若二次函数图象与x轴有两个交点且交点坐标为(,0)和(,0),则,.
⭐️精炼一道例题,搞定所有真题。
二次函数系数与图像的关系毕竟也不作为考试重点了,但是肯定也要掌握啊,就是最后的压轴题也会用到有关知识。如果你实在不想花费过多精力的话,下面这道题无论如何你吃透,那你基本上也就能掌握这一类题了。
【一题讲透】二次函数y=ax2+bx+c的图象如图所示,对称轴是直线x=1.下列结论:①abc<0;②b2>4ac;③2a+b=0;④3a+c>0;⑤a+b+c>0;⑥am2+bm≥a+b(m为实数);⑦(a+c)2﹣b2>0;⑧方程ax2+bx+c=2023的两实数根为x1,x2,则x1+x2=2.⑨a+c-b>0;⑩4a+2b+c>0;⑪9a+3b+c<0;⑫ax12+bx1=ax22+bx2且x1≠x2则x1+x2=2.
其中结论正确有_____________________
【解答】解:①∵二次函数图象开口向上,对称轴为直线x=1,与y轴交于负半轴,∴a>0,,c<0,(运用了数形结合法)∴b=﹣2a<0(根据“左同右异”,若对称轴在y轴右侧,则a,b异号),∴abc>0,故结论①不正确;
②∵二次函数图象与x轴有两个交点,∴Δ=b2﹣4ac>0,即b2>4ac,选项②正确;
③∵对称轴为直线x=1,即∴b=﹣2a,∴2a+b=2a﹣2a=0(运用了消元法),故结论③正确;
④∵x=﹣1时,y>0,∴a﹣b+c>0,又∵b=﹣2a,∴a+2a+c>0,即3a+c>0(运用了消元法),所以④正确;
⑤∵当x=1时,y<0,∴a+b+c<0,故结论⑤不正确;
⑥∵x=1时,y有最小值a+b+c,∴a+b+c≤am2+bm+c(运用了赋值法),∴a+b≤m(am+b)即am2+bm≥a+b(m为实数).故⑥正确
⑦∵x=1,y<0,∴a+b+c<0,∵x=﹣1时,y>0,∴a﹣b+c>0,∴(a+c)2﹣b2=(a+c﹣b)(a+b+c)<0(运用了赋值法),故结论⑦不正确;
⑧方程ax2+bx+c=2023的两实数根为x1,x2,看成二次函数的函数值等于2023对应自变量取值x1,x2,由抛物线关于直线x=1对称,可知=1,(运用了数形结合法)可得x1+x2=2,故结论⑧正确;
⑨当x=﹣1时,y>0,∴a﹣b+c>0,∴a+c﹣b>0,故结论⑨正确;
⑩当x=2时,y=4a+2b+c<0,故结论⑩不正确;
⑪∵抛物线与x轴一个交点在(﹣1,0)与(0,0)之间,对称轴为直线x=1,∴抛物线与x轴另一交点坐标为(2,0)与(3,0)之间,∴9a+3b+c>0,故结论⑪不正确
⑫∵ax12+bx1=ax22+bx2,∴ax12+bx1+c=ax22+bx2+c∴,又∵x1≠x2根据抛物线关于直线x=1对称,可知∴,故结论⑫正确.
故答案:②③④⑥⑧⑨⑫
⭐️再针对天津中考第12题,给大家安排20道有针对性的模拟练习题,吃透的话,这一道题就差不多了。
☆二次函数的实际应用
1.(2024河东区一模)如图,在羽毛球比赛中,某次羽毛球的运动路线可以看作是抛物线
y=-
x2+
x+1的一部分(水平地面为x轴,单位:m),有下列结论:
①出球点A离点O的距离是1 m;
②羽毛球最高达到
m;
③羽毛球横向飞出的最远距离是3 m.
其中,正确结论的个数是(C)

A.0个B.1个C.2个D.3个
2.(2024南开区二模)已知某商品每件的进价为40元,售价为每件60元,每星期可卖出该商品300件.根据市场调查反映:商品的零售价每降价1元,则每星期可多卖出该商品20件.有下列结论:
①当降价为3元时,每星期可卖360件;
②每星期的利润为6 120元时,可以将该商品的零售价定为42元或者43元;
③每星期的最大利润为6 250元.
其中,正确结论的个数是(C)
A.3B.2C.1D.0
3.(2024滨海新区二模)如图,以40 m/s的速度将小球沿与地面成30°角的方向击出时,小球的飞行路线将是一条抛物线.如果不考虑空气阻力,小球的飞行高度h(单位:m)与飞行时间t(单位:s)之间具有函数关系h=20t-5t2.有下列结论:
①小球从飞出到落地用时为4 s;
②小球飞行的最大高度为20 m;
③小球的飞行高度为15 m时,小球飞行的时间是1 s.
其中,正确结论的个数是(C)

A.0B.1C.2D.3
4.(2024河北区二模)如图,一男生推铅球,铅球行进高度y(单位:米)是水平距离x(单位:米)的二次函数,即铅球飞行轨迹是一条抛物线.该男生推铅球出手时,铅球的高度为1.6米;铅球飞行至水平距离4米时,铅球高度为4米,铅球落地时水平距离为8米.有下列结论:
①铅球飞行至水平距离3.5米时,铅球到达最大高度,最大高度为4.05米;
②当0≤x≤8时,y与x之间的函数关系式为:y=-
x2+
x+
;
③铅球从出手到飞行至最高点的水平距离与从最高点运动至落地的水平距离相等.
其中,正确结论的个数是(B)

A.3B.2C.1D.0
5.在科幻小说《实验室的故事》中,有这样一个情节,科学家把一种珍奇的植物分别放在不同温度的环境中,经过一天后,测试出这种植物高度的增长情况(如表):
温度/℃ | … | -4 | -2 | 0 | 2 | 4 | 4.5 | … |
植物每天高 度增长量/mm | … | 41 | 49 | 49 | 41 | 25 | 19.75 | … |
由这些数据,科学家推测出植物每天高度增长量是温度的二次函数,则下列说法:
①该植物在0 ℃时,每天高度增长量最大;
②该植物在-6 ℃时,每天高度增长量仍能保持在20 mm以上;
③该植物在-1至6 ℃的环境下,每天高度增长量随温度的增大而减小.
其中正确说法的个数是(C)
A.0个B.1个C.2个D.3个
6.为了节省材料,某工厂利用岸堤MN(岸堤足够长)为一边,用总长为80米的材料围成一个由三块面积相等的小矩形组成的矩形ABCD区域(如图),若BC=x米,则下列4个结论:
①AB=(40-
x)米;
②BC=2CF;
③AE=2BE;
④矩形ABCD的最大面积为300平方米.
其中正确结论的序号是(D)

A.①②B.①③C.②③D.③④
7.某公司销售一种藜麦,成本价为30元/千克,若以35元/千克的价格销售,每天可售出450千克.当售价每涨0.5元/千克时,日销售量就会减少15千克.设当日销售单价为x(元/千克)(x≥30,且x是按0.5的倍数上涨),当日销售量为y(千克).有下列说法:①当x=36时,y=420;
②y与x之间的函数关系式为y=-30x+1 500;
③若使日销售利润为2 880元,且销售量较大,则日销售单价应定为42元/千克;
④若使日销售利润最大,销售价格应定为40元/千克.
其中正确结论的序号是(B)
A.①②B.①②④C.①②③D.②④
8.(2024和平区三模)用一段长为36 m的篱笆围成一个一边靠墙的菜园.
方案一:如图1,围成一个矩形菜园ABCD,其中一边AD是墙,其余的三边AB,BC,CD用篱笆,其中AD≥AB;
方案二:如图2,围成一个扇形菜园,一条半径EF是墙,其余用篱笆.
有下列结论:
①AB的长可以是13 m;
②AB的长有两个不同的值满足该矩形菜园的面积为160 m2;
③矩形菜园ABCD的面积的最大值为162 m2;
④方案二围成扇形菜园的最大面积大于方案一围成矩形菜园的最大面积.
其中,正确结论的个数是(B)

A.1B.2C.3D.4
9.(2024西青区一模)如图,某劳动小组借助一个直角墙角围成一个矩形劳动基地ABCD,墙角两边DC和DA足够长,用总长28 m的篱笆围成另外两边AB和BC.
有下列结论:
第9题图①当AB的长是10 m时,劳动基地ABCD的面积是180 m2;
②AB的长有两个不同的值满足劳动基地ABCD的面积为192 m2;
③点P处有一棵树(树的粗细忽略不计),它到墙DC的距离是12 m,到墙DA的距离是8 m,如果这棵树需在劳动基地内部(包括边界),那么劳动基地面积的最大值是196 m2,最小值是160 m2.
其中,正确结论的个数是(D)
A.0B.1C.2D.3
10.(2024河北区一模)如图,是一块菱形新型平面材料ABCD,∠BAD=135°,AB=50 cm,点E在BC上,且EA垂直于AD,先沿着AE切开材料,然后在四边形ADCE内切割出一块矩形,且矩形相邻两边落在AD,AE上,一个顶点落在CD边上.设边AE上矩形的边长为x cm,矩形的面积为y cm2.有下列结论:
①y与x之间的函数关系式为:y=-x2+50x(0 <x≤25< span>
); </x≤25<>
②当x=10时,切割出矩形后,四边形AECD剩余的面积为(1 250
-625)cm2;
③若切割出的矩形材料用于某种生产时,售价为1.5元 /cm2,则当x=25时,出售此块矩形材料的总价最大,最大值为937.5元 .
其中,正确结论的个数是(C)

A.0B.1C.2D.3
☆二次函数的图象与a,b,c之间的关系
11.(2024滨海新区一模)抛物线y=ax2+bx+c的开口方向向上,对称轴是x=1,与x轴的一个交点在(-2,0)和(-1,0)之间(不包括这两个点).有下列结论:
①abc>0;
②3a+c<0;
③方程ax2+bx-b=0没有实数根.
其中,正确结论的个数是(A)
A.3B.2C.1D.0
12.二次函数y=ax2+bx+c(a≠0)的图象如图所示,它的对称轴为直线x=1,则下列结论:
①abc<0;
②当x>2时,y>0;
③
a+c<0;
④a+b≤m(am+b)(m为任意实数).
其中正确结论的个数是(A)
A.1个B.2个C.3个D.4个
13.(2023西青区一模)已知抛物线y=ax2+bx+c(a,b,c是常数,a>0,c>-1)对称轴为
x=
,且经过点(-1,0).下列结论:
①a-b=0;
②0<a<
;
③关于x的方程ax2+bx+c+1=0恰好有两个相等的实数根,则a=
.
其中,正确的个数是(B)
A.3B.2C.1D.0
14.(2023部分区二模)如图是抛物线y=ax2+bx+c (a,b,c是常数,a≠0)的一部分,抛物线的顶点坐标是A(1,4),与x轴的交点是B(3,0).有下列结论:
①抛物线与x轴的另一个交点是(-1,0);
②关于x的方程 ax2+bx+c-4=0有两个相等的实数根;
③x(ax+b)≤a+b.
其中,正确结论的个数是(D)
A.0B.1C.2D.3
15.(2023河西区一模)若关于x的一元二次方程x2-4x+3=m有实数根x1,x2,且x1≠x2,有下列结论:
①m<-2;
②x1=1,x2=3;
③二次函数y=(x-x1)(x-x2)+m的图象与x轴交点的坐标为(1,0)和(3,0).
其中,正确结论的个数是(B)
A.0B.1C.2D.3
16.(2023和平区一模)二次函数y=ax2+bx+c(a,b,c是常数,a≠0)的自变量x与函数值y的部分对应值如下表:
x | … | -3 | x1 | -1 | x2 | x3 | 1 | … |
y | … | m | 0 | k | 0 | n | m | … |
其中-3<x1<-1<0<x2<x3<1,n<m.有下列结论:
①abc<0;
②3a+c>0;
③
=-3;
④当t≤x≤1时,y有最大值为m,最小值为k,此时t的取值范围是-3≤t≤-1.
其中,正确结论的个数是(D)
A.1B.2C.3D.4
17.(2023南开区三模)如图,函数y=ax2+bx+c的图象过点(m,0)和(1,0),有下列结论:
①abc>0;
②
+
+1=0;
③关于x的方程ax2+bx+c+m=0必有两个不相等的实数根.
其中正确的有(C)
A.0个B.1个C.2个D.3个
18.(2023滨海新区二模)二次函数y=ax2+bx+c的大致图象如图所示,其中顶点为(2,-9a),则下列结论:
①abc<0;
②4a-2b+c>0;
③若方程a(x-5)(x+1)=-1有两根为x1和x2,且x1<x2,
则x1<-1<5<x2.
其中正确的个数是(C)
A.0B.1C.2D.3
19.(2024和平区一模)已知抛物线y=ax2+bx+c(a,b,c是常数,a≠0)经过点(-
,0),其对称轴是直线x=1,当x=-1时,与其对应的函数值y>1.有下列结论:
①abc<0;
②若点(-3,y1),(3,y2),(0,y3)均在函数图象上,则y1>y3>y2;
③若方程a(2x+1)(2x-5)+2=0的两根为x1,x2且x1<x2,则-
<x1<x2<
;
④a>
.
其中,正确结论的个数有(B)
A.1个B.2个C.3个D.4个
20.(2023红桥区二模)已知抛物线y=ax2+bx+c(a,b,c均是不为0的常数)经过点(1,0).有如下结论:
①若此抛物线过点(-3,0),则b=2a;
②若b=c,则关于x的方程cx2+bx+a=0一定有一根x=-2;
③点A(x1,y1),B(x2,y2)在此抛物线上,若0<a<c,则当x1<x2<1时,y1>y2.
其中,正确结论的个数是(D)
A.0B.1C.2D.3
我是津门梁师益友985,一站式解决您的数理化痛点!若需助力请微信联系,我在天津等您!
【作者简介】中国985高校本硕,爱读书、爱学习,喜欢跑马拉松,喜欢结交志同道合的朋友。愿意在天津转学规划、心理健康建设、教育培训、中高考升学规划等方面与各位朋友交流。欢迎私信或V:liangshiyiyou985,扫一扫加我为好友吧!

声明:文中部分图片来源于网络,若有侵权请联系删除!