【中考真题】2025年湖北省中考数学试题(含答案)

四季读书网 18 0
【中考真题】2025年湖北省中考数学试题(含答案)
【中考真题】2025年湖北省中考数学试题(含答案) 第1张
【中考真题】2025年湖北省中考数学试题(含答案) 第2张
【中考真题】2025年湖北省中考数学试题(含答案) 第3张
【中考真题】2025年湖北省中考数学试题(含答案) 第4张
【中考真题】2025年湖北省中考数学试题(含答案) 第5张
【中考真题】2025年湖北省中考数学试题(含答案) 第6张
【中考真题】2025年湖北省中考数学试题(含答案) 第7张
【中考真题】2025年湖北省中考数学试题(含答案) 第8张
【中考真题】2025年湖北省中考数学试题(含答案) 第9张
【中考真题】2025年湖北省中考数学试题(含答案) 第10张
【中考真题】2025年湖北省中考数学试题(含答案) 第11张
【中考真题】2025年湖北省中考数学试题(含答案) 第12张
【中考真题】2025年湖北省中考数学试题(含答案) 第13张
【中考真题】2025年湖北省中考数学试题(含答案) 第14张
【中考真题】2025年湖北省中考数学试题(含答案) 第15张
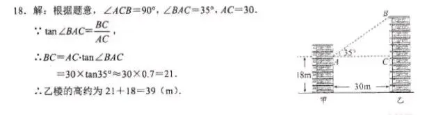
【中考真题】2025年湖北省中考数学试题(含答案) 第16张
【中考真题】2025年湖北省中考数学试题(含答案) 第17张
【中考真题】2025年湖北省中考数学试题(含答案) 第18张
【中考真题】2025年湖北省中考数学试题(含答案) 第19张
【中考真题】2025年湖北省中考数学试题(含答案) 第20张
往期推荐

【中考真题】2025浙江省中考数学试卷(附试题参考答案及评分参考)

【2025真题】2025年广东中考数学真题(附试题参考答案及评分参考)

【自招真题】2025年浙江省杭州二中自主招生签约选拔数学试卷(可打印)

告别盲目刷题!数学提分的核心:3步拆题法,让思维快速开窍

喜欢我,请点赞支持【中考真题】2025年湖北省中考数学试题(含答案) 第21张
乐分享,不妨点个推荐【中考真题】2025年湖北省中考数学试题(含答案) 第22张

抱歉,评论功能暂时关闭!