1、基本模型

2、结论推导

3、解题技巧
遇到中点或中线,则考虑使用“倍长中线模型”,即延长中线,使所延长部分与中线相等,然后连接相应的顶点,构造出全等三角形.
4、历史文章
一题多解 | 中线倍长;
来解题吧 | 逆用倍长中线;
来解题吧 | 逆用倍长中线+翻折求最值;
二、一线三等线模型
1、基本模型

2、结论推导
结论1:△CAP≌△PBD.
证明:∵∠1+∠C+∠APC=180°,∠2+∠BPD+∠APC=180°,∠1=∠2,∴∠C=∠BPD.
∵∠1=∠3,AP=BD(或AC=BP或CP=PD),∴△CAP≌△PBD.
结论2:△APC≌△BDP.
证明:∵∠1=∠C+∠APC,∠2=∠BPD+∠D,∠3=∠BPD+∠APC,∠1=∠2=∠3,
∴∠C=∠BPD,∠APC=∠D.∵AP=BD(或AC=BP或CP=PD),∴△APC≌△BDP.
三、半角模型
1、基本模型

2、结论推导



四、手拉手模型
1、基本模型

2、结论推导

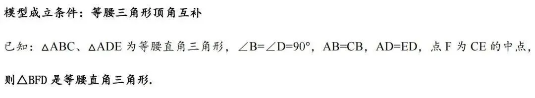
五、对角互补模型
1、基本模型





2、历史文章
一题多解|截长补短问题6种证明方法
八、绝配角模型
1、基本模型

2、结论推导

3、解题技巧
如果题目中出现二倍角,可以考虑用绝配角模型,构造等腰三角形,绝配角+等腰三角形+全等三角形一般同时出现,然后用勾股定理或相似求解.构造等腰三角形是这类绝配角问题的重要方法.
4、历史文章
来解题吧 | 绝配角在几何解题中的应用
九、婆罗摩笈多模型
1、基本模型


2、历史文章
几何模型 | 婆罗摩笈多定理&模型&公式
十、海岛埋宝模型
1、基本模型




2、历史文章
趣味几何|海盗埋宝&婆罗摩笈多
趣味几何|当三角形长出一对耳朵